| 제목 | 답변완료 [기타] 대학물리학(SERWAY) 6장 관련 (교재 외 문제) 질문입니다! | ||
|---|---|---|---|
| 질문유형 | 기타 | 교수님 | 이정욱 |
| 과목 | 일반물리학 | 강좌명 | |
| 작성자 | (S**********9) | 등록일 | 2024-04-24 17:44 |
| 첨부파일 | |||
|
안녕하세요! 대학물리학(SERWAY) 강의를 수강 중인 학생입니다. 해당 문제를 풀고 있는데 친구들과 의견이 갈려서 이렇게 질문하게 되었습니다!
저는 mgsin@도 고려를 해서 답을 구하면 속도 v = 루트(R x g x (sin@ - (최대마찰계수)xcos@))가 나왔는데 친구들은 mgsin2를 무시하고 풀어서 v = 루트((최대마찰계수) x R x g x cos@)가 나왔습니다.
우선 저희 답이 정답인지는 모르는 상황이라서 누가 맞고 틀린 건지는 모르는 상황입니다. 혹시 설명해 주실 수 있으신가요? 답변 완료된 질문과 답변은 수정 및 삭제가 불가합니다. |
|||
- 댓글
- 0
이*욱
교수님
안녕하세요. 이정욱 입니다.
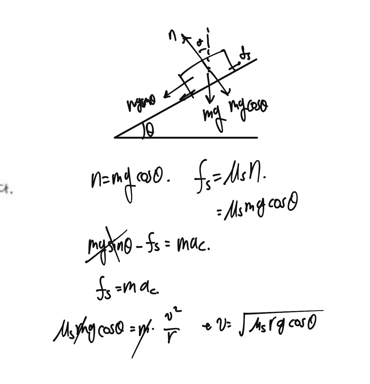
미끄러지지 않기 위한 조건을 적용함에 있어...
속도가 충분히 처지면 자동차는 빗면 윗방향으로 움직일 수 있으므로 마찰력 방향은 빗면 아랫방향으로 작용해야 합니다.
또한, 지름방향으로 구심력이 작용해야 하고...연직방향에 대해 평형 조건을 만족해야 합니다.
이에 대한 식 표현이..게시글로 표현하기 힘들어 아래 파일로 첨부 하오니 확인하시기 바랍니다.
- 2024-04-24
- 2024-12-12 수정























