| 제목 | 답변완료 일반 물리학 연습문제 질문 | ||
|---|---|---|---|
| 질문유형 | 기타 | 교수님 | 이정욱 |
| 과목 | 일반물리학 | 강좌명 | |
| 작성자 | 이*현 (d*******7) | 등록일 | 2023-07-19 22:47 |
| 첨부파일 | |||
|
안녕하세요! 항상 좋은 강의 해주셔서 감사합니다. 다름이 아니라, 교수님 문제를 풀다가 막혀 이렇게 질문 드립니다.,. 제가 가지고 있는 교재가 young and freedman 라 문제에 대한 해설도 없어 정말 잘 모르겠더라구요. 이런 형식의 문제는 어떻게 풀어야 하는 지에 대한 질문 올립니다.
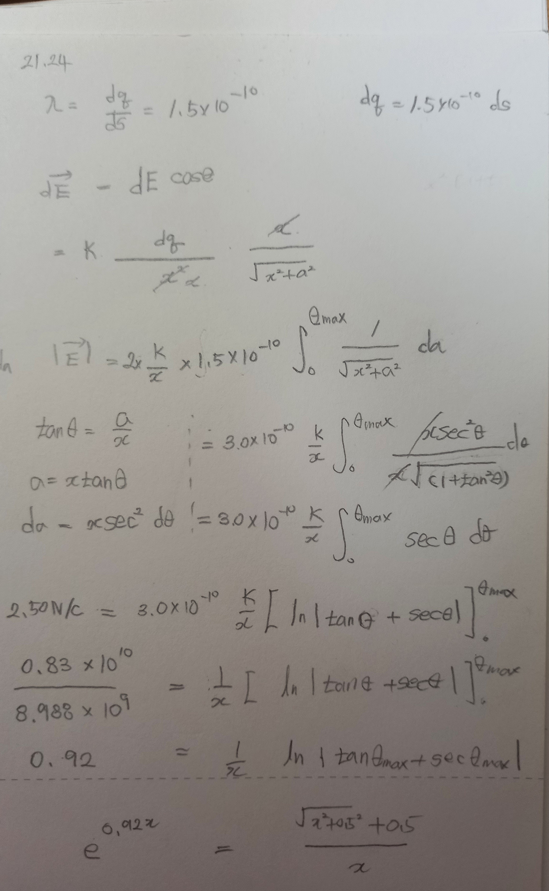
문제 단위 길이당 전하량이 1.5*10^-10 C/m인 긴 도선이 있다. 전기장의 세기가 2.50 N/C 인 전은 도선으로부터 얼마나 떨어져 있는가?
제가 풀다 막힌 풀이도 첨부합니다.
답변 완료된 질문과 답변은 수정 및 삭제가 불가합니다. |
|||
- 댓글
- 0
네~안녕하세요.
아마도 질문하신 상황이...무한 직선 절연체 구조를 띤 대전체에 의한 전기장을 구하는 상황인 듯 합니다.
무한 직선 도선에 의한 전기장은 원통형 좌표계에서 접근하지요? 가우스 법칙에 따르면요~
그럼 원통 중심으로부터 지름방향으로 거리 r만큼 떨어진 지점에서의 전기장의 크기는 E=2k(λ/r) 로...거리에 반비례함을 수업시간에 다루었습니다.
질문 내용에 길이당 전하량 (λ)가 제시되어 있고...전기장(E)의 크기를 알고 있으니..위의 식에 대입하면 r을 구할 수 있습니다.^^
- 2023-07-30
- 2024-12-12 수정























