| 제목 | 답변완료 25강 29:42 | ||
|---|---|---|---|
| 질문유형 | 강좌내용 | 교수님 | 김민우 |
| 과목 | 기초수학 | 강좌명 | |
| 작성자 | 박*현 (k***********************5) | 등록일 | 2026-01-17 11:44 |
|
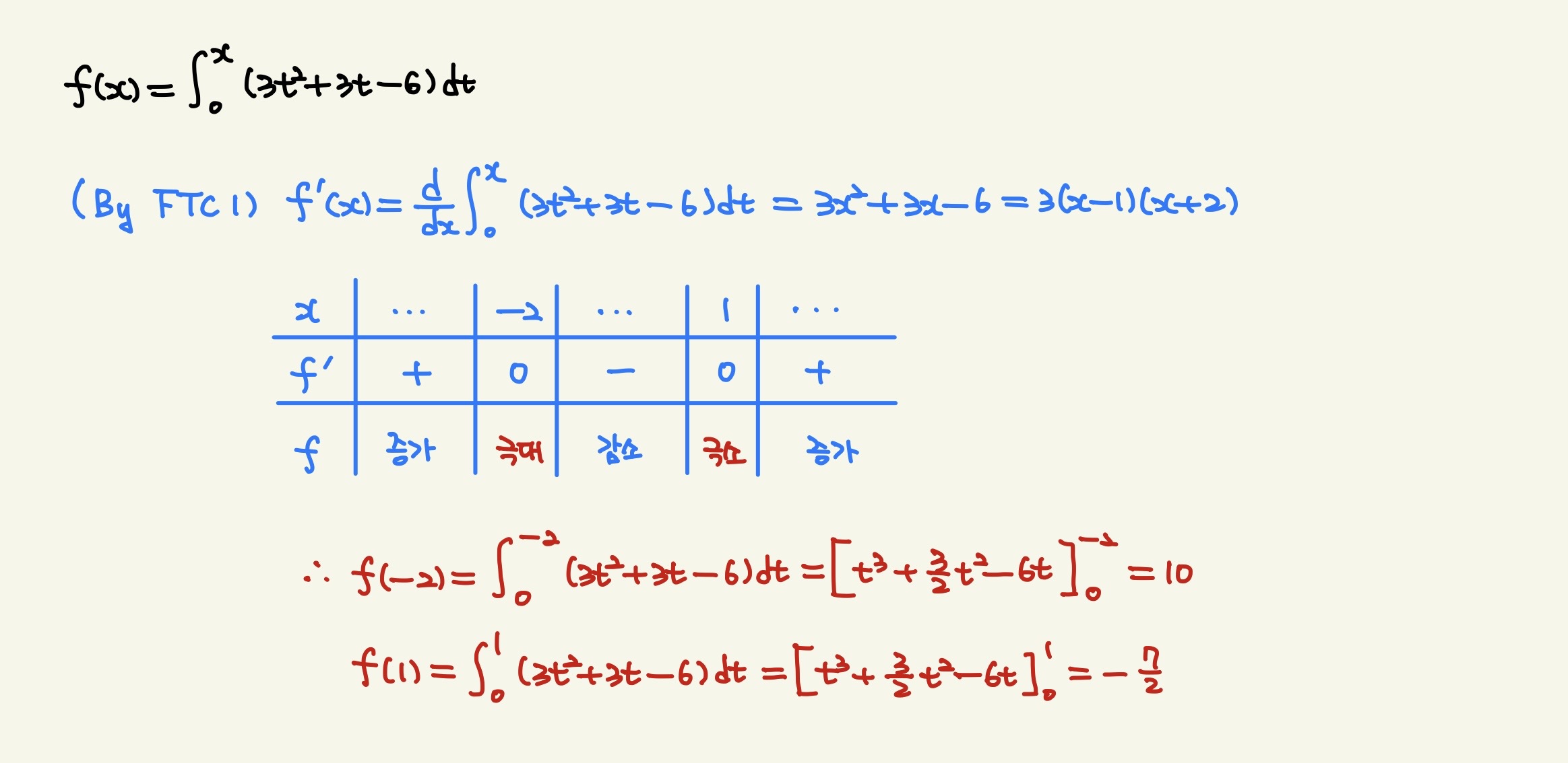
극대는 -2에서 극소는 1에서 나오는거죠? 오타인가요?
답변 완료된 질문과 답변은 수정 및 삭제가 불가합니다. |
|||
- 댓글
- 0
김*우
교수님
안녕하세요! 질문에 답변드리도록 하겠습니다!
주어진 부분은 오타가 맞습니다. 조금 더 완벽한 해설을 위해 수정된 해설지의 파일을 업로드 해드립니다!
오타로 인해 수강에 불편을 드린 점 죄송합니다!
질문에 참고가 되시길 바라며 추가적인 질문이 있으실 경우 언제든지 질문주시기 바랍니다!
- 2026-01-22
























