| 제목 | 답변완료 3강 28분 40초 | ||
|---|---|---|---|
| 질문유형 | 강좌내용 | 교수님 | 김민우 |
| 과목 | 기초수학 | 강좌명 | |
| 작성자 | 박*현 (k***********************5) | 등록일 | 2026-01-06 15:28 |
|
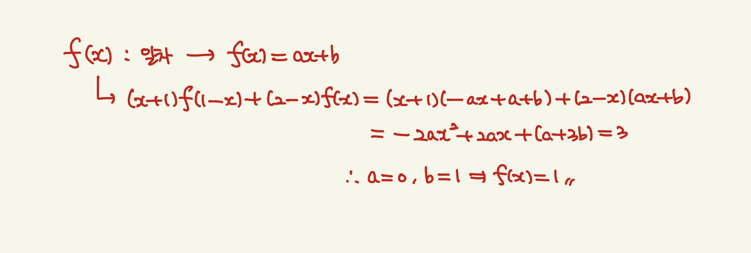
일차식을 임의로 as+b라고 한것 까지는 알겠는데 왜 f(1-x)부분에도 ax+b라고 넣는 건가요?
f(1-x)부분에는 -ax+a+b가 나와야 하는것아닌가요? 답변 완료된 질문과 답변은 수정 및 삭제가 불가합니다. |
|||
- 댓글
- 0
김*우
교수님
안녕하세요! 질문을 확인하고 영상을 확인하였습니다!
확인한 결과 학생분께서 지적하신 대로 해당 부분에 오타가 있어서 아래의 그림과 같이 수정하여 해결하면 될 것 같습니다!
질문 주셔서 감사하고 앞으로 더 완벽한 강의로 보완될 수 있도록 하겠습니다!
다른 질문이 있으실 경우 언제든지 질문해 주시기 바랍니다!
- 2026-01-09
- 2026-01-09 수정
























