| 제목 | 답변완료 [미적분학] 미적분학의 올바른 이해 Part 1 함수의 적분 | ||
|---|---|---|---|
| 질문유형 | 강좌내용 | 교수님 | 임계수 |
| 과목 | 강좌명 | ||
| 작성자 | 고*호 (l****1) | 등록일 | 2021-04-17 00:53 |
| 첨부파일 | |||
|
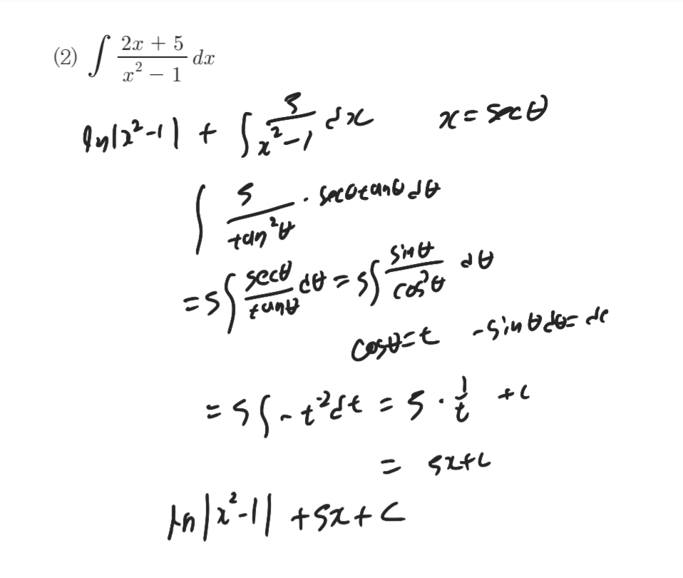
부분적분으로 풀지 않고 사진처럼 치환해서 푸는 것은 잘못된 접근인지, 잘못되었다면 왜 그런지 궁금합니다. 답변 완료된 질문과 답변은 수정 및 삭제가 불가합니다. |
|||
- 댓글
- 0
관*자
안녕하세요.
유니스터디 임계수입니다.
답변 전에 질문사항 올려주실 때,
강의자료 기준으로 페이지를 문의사항에 같이 남겨주시면
더욱 빠르고 정확한 답변이 가능합니다.
아래는 문의하신 질문에 대한 답변입니다.


감사합니다.
- 2021-04-19
- 2024-12-12 수정























