| 제목 | 답변완료 [기초수학] 대학기초수학 : 미적분 기초 All-In-One | ||
|---|---|---|---|
| 질문유형 | 강좌내용 | 교수님 | 임계수 |
| 과목 | 기초수학 | 강좌명 | |
| 작성자 | 고*호 (l****1) | 등록일 | 2021-03-11 21:18 |
|
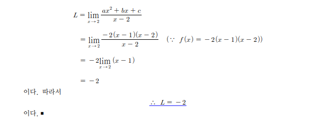
위 문제들에 대한 풀이를 알고 싶습니다. 감사합니다. 답변 완료된 질문과 답변은 수정 및 삭제가 불가합니다. |
|||
- 댓글
- 0
관*자
안녕하세요.
유니스터디 임계수 입니다.
질문에 대한 답변입니다.



감사합니다.
- 2021-03-15
- 2024-12-12 수정
























