| 제목 | 답변완료 기초 미분적분학 part1 302p 6.1-(3) | ||
|---|---|---|---|
| 질문유형 | 강좌내용 | 교수님 | 임계수 |
| 과목 | 강좌명 | ||
| 작성자 | 최*현 (s********5) | 등록일 | 2021-02-23 20:59 |
| 첨부파일 | |||
|
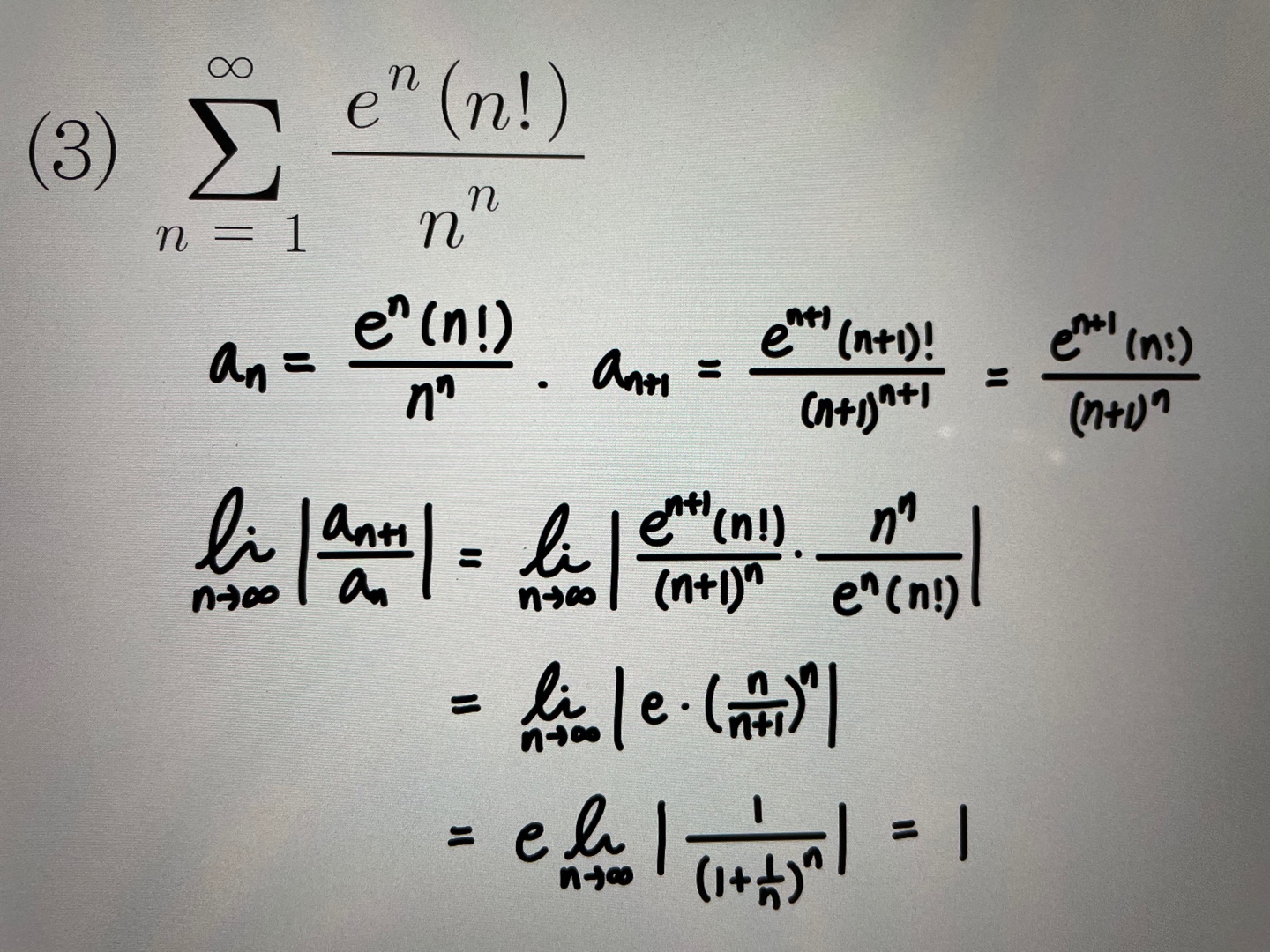
비판정법을 사용하여 푸는데 계속해서 L이 1이 나와서 질문드립니다! 풀이의 어느 부분에서 잘못이 있나요..? 감사합니다:) 답변 완료된 질문과 답변은 수정 및 삭제가 불가합니다. |
|||
- 댓글
- 0
관*자
안녕하세요.
유니스터디 임계수입니다.
문의한 질문에 대한 답변입니다.



감사합니다.
- 2021-03-02
- 2024-12-12 수정























