| 제목 | 답변완료 9장 예제 2.2 풀이 질문 | ||
|---|---|---|---|
| 질문유형 | 강좌내용 | 교수님 | 임계수 |
| 과목 | 강좌명 | ||
| 작성자 | 이*우 (d**********w) | 등록일 | 2020-10-21 19:57 |
|
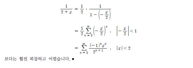
교재 319p에 예제 2.2 (1)번 문제를 다음과 같은 과정을 통해 풀었는데, 교수님과 풀이과정도 다르고 그 답도 달라 질문드립니다. 사진에서와 같은 방법으로 풀이해도 되는 것인지, 된다면 답이 다른 이유와 만약 틀렸다면 어디서 잘못 생각했는지가 궁금합니다.
답변 완료된 질문과 답변은 수정 및 삭제가 불가합니다. |
|||
- 댓글
- 0
임*수
교수님
안녕하세요. 임계수 입니다.
감사합니다.
- 2020-10-22
- 2024-12-12 수정
























