| 제목 | 답변완료 p61 7번문제 역연산자 | ||
|---|---|---|---|
| 질문유형 | 강좌내용 | 교수님 | 임계수 |
| 과목 | 공학수학 | 강좌명 | |
| 작성자 | 추*호 (w****4) | 등록일 | 2020-08-31 21:02 |
| 첨부파일 | |||
|
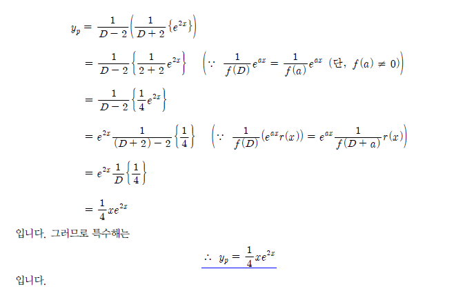
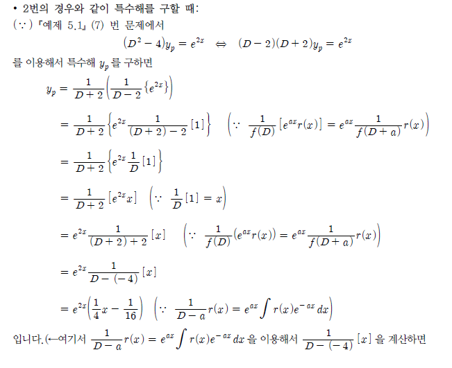
위에 첨부된 사진에서 1/(D-2)와 1/(D+2) 중에서 어떤걸 먼저 계산하는지에 따라서 답이 다르게 나오는데 왜 이렇게 되는지 궁금합니다 답변 완료된 질문과 답변은 수정 및 삭제가 불가합니다. |
|||
- 댓글
- 0
임*수
교수님
안녕하세요, 임계수입니다.
- 2020-09-02
- 2024-12-12 수정























