| 제목 | 답변완료 답안지 | ||
|---|---|---|---|
| 질문유형 | 강좌내용 | 교수님 | 임계수 |
| 과목 | 공학수학 | 강좌명 | |
| 작성자 | 전*기 (w*********3) | 등록일 | 2019-04-26 00:27 |
|
예제 11번 13번 풀었는데 답이 맞는지 part5 예제 2.11번 2.13번 해답좀 알고싶습니다. 답변 완료된 질문과 답변은 수정 및 삭제가 불가합니다. |
|||
- 댓글
- 0
임*수
교수님
안녕하세요?
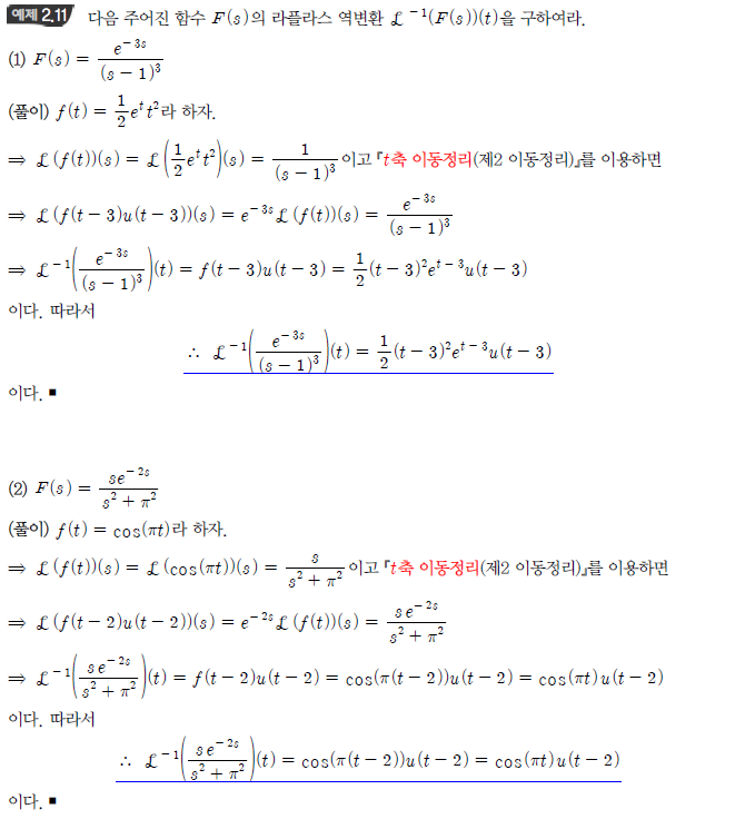
수식이 있어서, 그림으로 답을 드릴께요~
- 가급적 한 번 풀어보는 것이 좋아요~
- 풀이를 적어주면, 제가 어디가 이해하기 어려운지 알텐데요~
- 다음엔 고려해 주세요~
- 2019-04-26
- 2024-12-12 수정

























