| 제목 | 답변완료 공학수학 / p34 / 예제 7.15 | ||
|---|---|---|---|
| 질문유형 | 기타 | 교수님 | 임계수 |
| 과목 | 공학수학 | 강좌명 | [공학수학] 공학수학1 : 상미분방정식과 라플라스변환 |
| 작성자 | 이*호 (l********1) | 등록일 | 2025-12-10 13:12 |
| 첨부파일 | |||
|
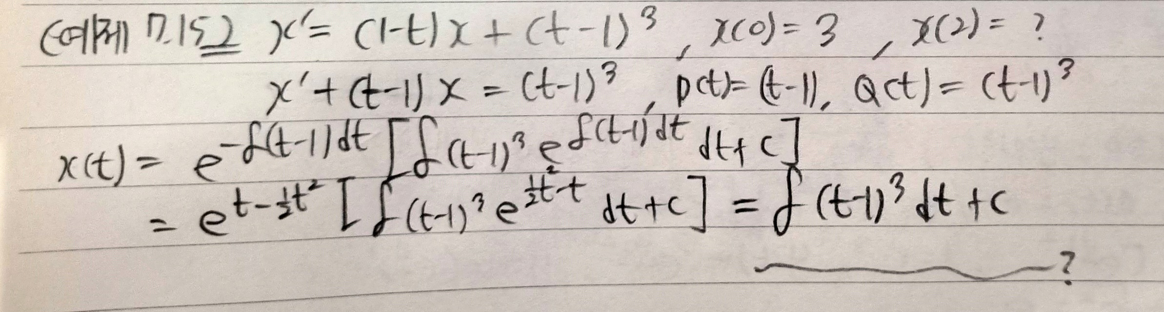
적분기호 안에있는 식과 바깥에 있는 식을 나누어서 계산했는데, 이렇게 해도 되는건지 모르겠습니다. 답은 잘 나오는거 보니 될 것 같지만, 우연일 수도 있어서 이게 맞는 풀이인지 확인받고 싶습니다.
답변 완료된 질문과 답변은 수정 및 삭제가 불가합니다. |
|||
- 댓글
- 0
관*자


안녕하세요.
유니스터디 임계수입니다.
질문에 대한 답변입니다.


- 2025-12-10
























