| 제목 | 답변완료 243p 이중적분의 응용, 종합 8.43 | ||
|---|---|---|---|
| 질문유형 | 강좌내용 | 교수님 | 임계수 |
| 과목 | 미분적분학 | 강좌명 | [미분적분학] 미분적분학2 기본 (이론+예제풀이) |
| 작성자 | 김*헌 (g*********6) | 등록일 | 2025-11-12 22:42 |
|
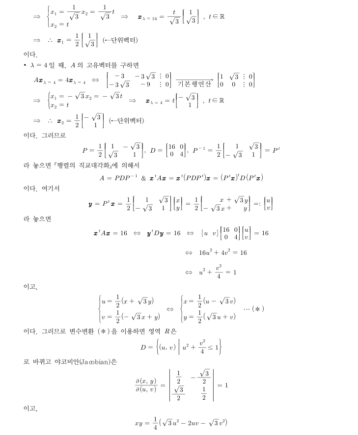
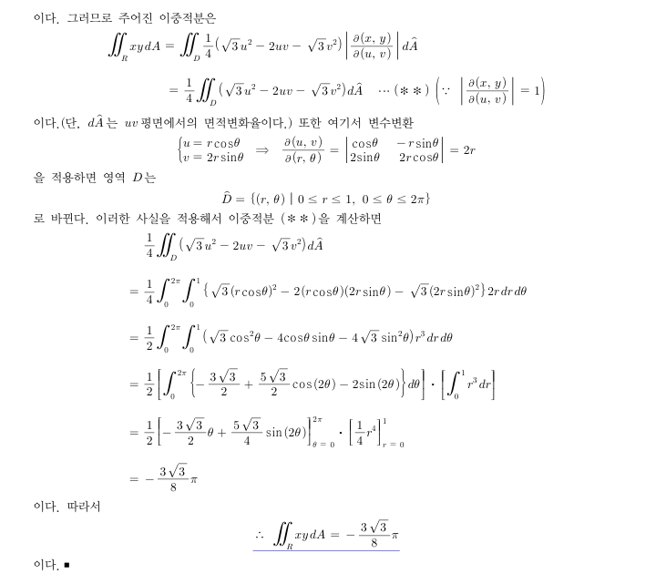
안녕하세요 편입을 준비하는 학생입니다. 해당 문제에 대한 해설이 궁금합니다. 이차형식을 사용하여 주워진 타원을 변형한 후 문풀을 진행하면 된다라고 하셨는데 정확히 어떻게 해야되는지 모르겠습니다. xAX = (xy)^t D y^tx 까지 구했는데 u = root3/2x+1/2y, v = -1/2x + root3/2y 하고 나니깐 피적분함수 xy를 처리하기 힘드네요... 감사합니다 답변 완료된 질문과 답변은 수정 및 삭제가 불가합니다. |
|||
- 댓글
- 0
관*자



안녕하세요.
유니스터디 임계수입니다.
질문에 대한 답변입니다.



- 2025-11-13
- 2025-11-13 수정
























