| 제목 | 답변완료 수열과 급수/page51/예제2.1 | ||
|---|---|---|---|
| 질문유형 | 강좌내용 | 교수님 | 임계수 |
| 과목 | 기초수학 | 강좌명 | |
| 작성자 | (t********5) | 등록일 | 2019-02-26 08:36 |
| 첨부파일 | |||
|
교수님 안녕하세요, 자주 질문을 드리어 이제는 저를 기억하실지도 모르겠네요...!
page 51, 예제 2.1 을 풀며 생겼던 질문 드리도록 하겠습니다.
1. 우선 개념적인 질문입니다.
n을 무한대로 보낸다는 것에서의 의미가 첫번째 n은 무한대가 아니고, 두번째 경로에 상관없이 하나의 수렴값을 가져야 한다고 하셨습니다.
그런데 강의 도중 계산 중간 중간 , n에 무한대를 대입하시는 과정이 있었습니다.
n이 정확히 무한대는 아니지만 극한의 정의에 의해 그 값에 매우 가까이 가게되므로 극한개념에서는 대입을 하여 푼다라고 알고 있습니다만
가물가물한 고등학교 때의 지식이라...이에 대한 설명 부탁드려도 괜찮을까요?
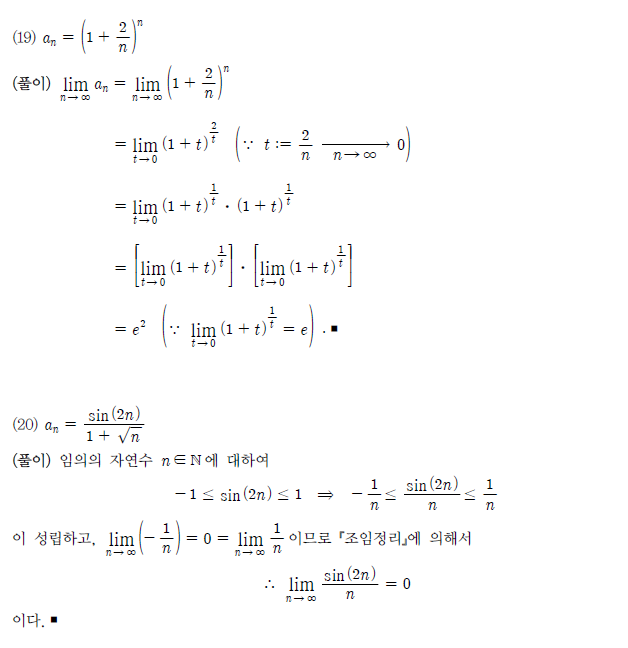
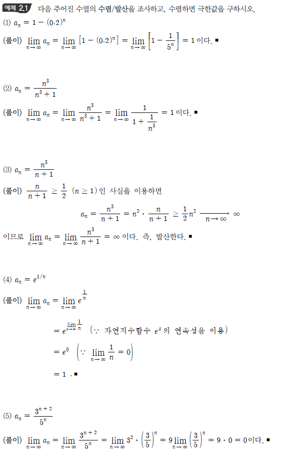
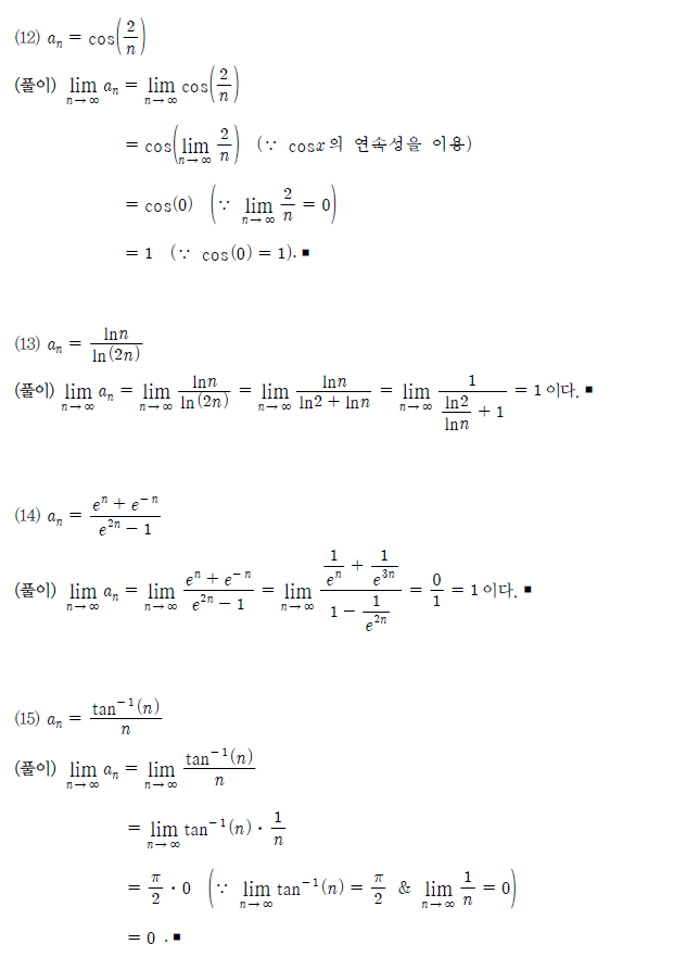
2. 예제의 경우 (1)~(12)는 그럭저럭 풀 수 있었습니다만, 뒤의 경우 자연로그,삼각함수가 있어 쉽사리 손을 대지 못했는데 지금 당장에 해결해야 정상인건지 아니면 조금 더 강의를 듣고 해결할 수 있는 부분인지 궁금합니다. 혹 풀어야 할 수준이라면 뒷 문제의 풀이를 알고싶습니다.
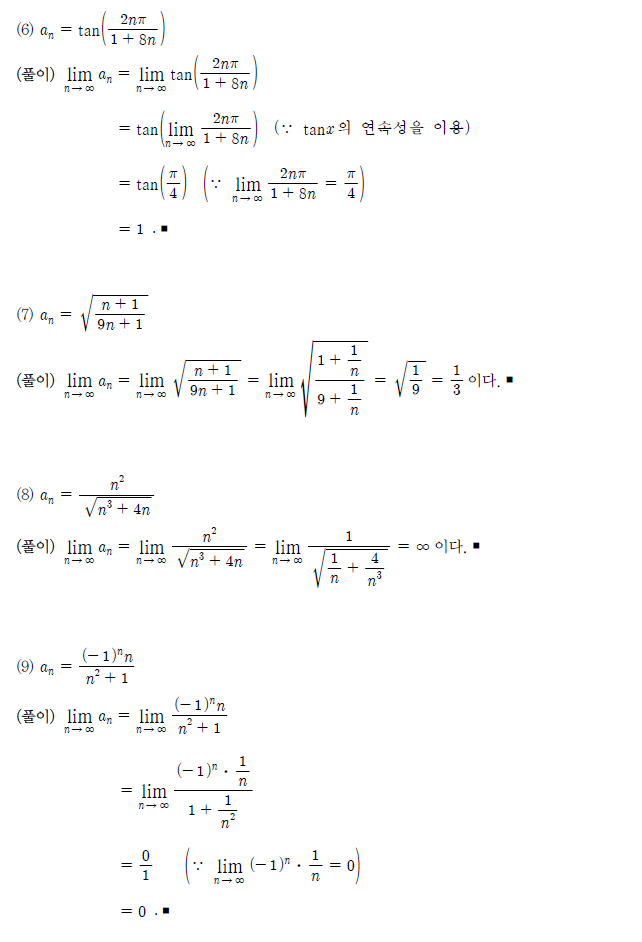
3. (7),(8) 의 경우 고등학교 때 배운 지식을 사용하여 원래라면 부족한 수학개념을 나름의 편법(?) 으로 분모 분자 차수비교 후 계수비교로 접근하였습니다만 교수님께서 강의 중에 하셨던 본질적 접근으로는 어떻게 해야할지 궁금합니다.
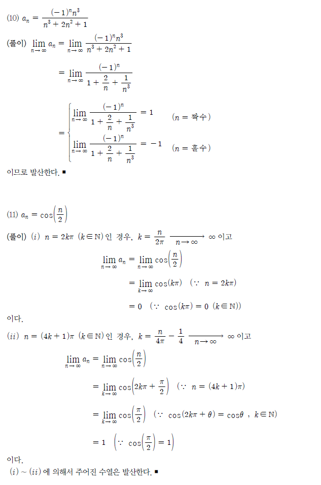
4. 예제 (9),(10) 는 제가 푼 풀이가 맞는지 궁금합니다. n이 커지는 경로가 짝수일 때와 홀수일 때 수렴하는 값이 같은 경우에는 최종적으로 수렴, 다를 경우에는 최종적으로 발산이라는 개념으로 풀었습니다.
타사에서 강의를 듣다가 개념부실에 대한 불만족을 느끼고 알아보고 알아보다 듣게 된 교수님의 강의는 매번 대만족입니다... 늘 많은 가르침 받고 있습니다. 감사합니다.
답변 완료된 질문과 답변은 수정 및 삭제가 불가합니다. |
|||
- 댓글
- 0
안녕하세요?
수식이 있어서, 아래 그림으로 답변 드립니다.
- 2019-02-26
- 2024-12-12 수정























