| 제목 | 답변완료 대학기초수학 : 미적분 기초 All-In-One/교재p46 예제1.10 (1) 정답 | ||
|---|---|---|---|
| 질문유형 | 기타 | 교수님 | 임계수 |
| 과목 | 기초수학 | 강좌명 | |
| 작성자 | 김*민 (J********0) | 등록일 | 2024-11-07 12:18 |
|
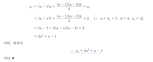
예제 1.10의 (1)번 문제 정답이 “2n^2+n-1” 아닌가요? 정답지에는 2n^2-5n+5라고 되어 있는데 아무리 풀어도 그렇게 안 나와서요
답변 완료된 질문과 답변은 수정 및 삭제가 불가합니다. |
|||
- 댓글
- 0
관*자


안녕하세요. 유니스터디 임계수입니다.
질문에 대한 답변입니다.


- 2024-11-07
- 2024-12-12 수정
























