| 제목 | 답변완료 미적분학2 종합문제 10.23 | ||
|---|---|---|---|
| 질문유형 | 강좌내용 | 교수님 | 임계수 |
| 과목 | 강좌명 | ||
| 작성자 | 박*영 (s*****1) | 등록일 | 2024-11-03 16:10 |
|
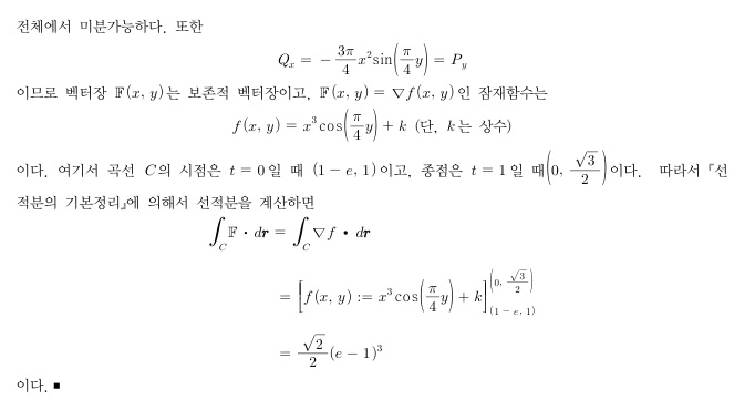
10.23번에서 문제에서 “선적분 ∫c F ·ds 이때의 선적분 기호”가 이때 · 는 곱셈을 의미하고 ds 앞에 T(단위접선벡터)가 붙어있지 않아서 위문장이 ∫c F●dr 과 어떻게 같은 의미가 되는지 궁금합니다
답변 완료된 질문과 답변은 수정 및 삭제가 불가합니다. |
|||
- 댓글
- 0
관*자
안녕하세요. 유니스터디 임계수입니다.
질문에 대한 답변입니다.


- 2024-11-05
- 2024-12-12 수정
























