| 제목 | 답변완료 전미분 질문드립니다. | ||
|---|---|---|---|
| 질문유형 | 강좌내용 | 교수님 | 임계수 |
| 과목 | 강좌명 | ||
| 작성자 | 이*훈 (w******n) | 등록일 | 2018-11-11 16:16 |
| 첨부파일 | |||
![]()
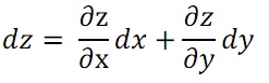
전미분의 기하적 의미와 관련해서 문의드립니다.
제임스 스튜어트 교재에는 전미분 dz의 기하적 의미가 (x,y)에서 (x+Δx,y+Δy) 로 변화할때 접평면의 높이 변화라고 나옵니다.(원서에는 dz is the change in height of the tangent plane 이라고 나오네요)
그렇다면 dz의 높이는 위 그림에서 빨갛게 표시한 부분의 높이의 합이라고 보면 되는지요?
답변 부탁드립니다.
답변 완료된 질문과 답변은 수정 및 삭제가 불가합니다. |
|||
- 댓글
- 0
임*수
교수님
보다 자세한 답변을 위해 그림으로 설명하겠습니다.
- 2018-11-12
- 2024-12-12 수정
























