| 제목 | 답변완료 미적분학2 (ver. 2024) 예제 5.9 | ||
|---|---|---|---|
| 질문유형 | 강좌내용 | 교수님 | 임계수 |
| 과목 | 강좌명 | ||
| 작성자 | 박*영 (s*****1) | 등록일 | 2024-08-11 18:19 |
| 첨부파일 | |||
|
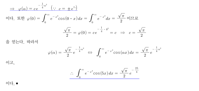
해당 문제에 대한 질문 2가지가 있습니다 질문 1 => 풀이과정중 e-제곱 적분방법 질문 2 = > 절대값 | F(5) | 에서 F(5)가 양수인 이유 2가지가 궁금합니다 답변 완료된 질문과 답변은 수정 및 삭제가 불가합니다. |
|||
- 댓글
- 0
관*자
안녕하세요. 유니스터디 임계수입니다.
질문에 대한 답변입니다.



- 2024-08-14
- 2024-12-12 수정
























