| 제목 | 답변완료 미적분학2 (ver.2024) 다변수스칼라함수 연속 | ||
|---|---|---|---|
| 질문유형 | 강좌내용 | 교수님 | 임계수 |
| 과목 | 강좌명 | ||
| 작성자 | 박*영 (s*****1) | 등록일 | 2024-08-08 16:22 |
| 첨부파일 | |||
|
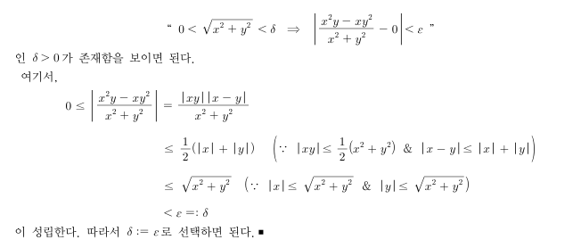
예제 4.4 강의 풀이과정 중에 =>1/2 |x-y| 에서 극한값을 계산하면 수학적 오류가 생기는지 궁금합니다. 답변 완료된 질문과 답변은 수정 및 삭제가 불가합니다. |
|||
- 댓글
- 0
관*자
안녕하세요. 유니스터디 임계수입니다.
질문에 대한 답변입니다.


- 2024-08-14
- 2024-12-12 수정
























