| 제목 | 답변완료 질문드립니다 | ||
|---|---|---|---|
| 질문유형 | 강좌내용 | 교수님 | 임계수 |
| 과목 | 강좌명 | ||
| 작성자 | 김*준 (k*******2) | 등록일 | 2024-07-24 12:01 |
| 첨부파일 | |||
|
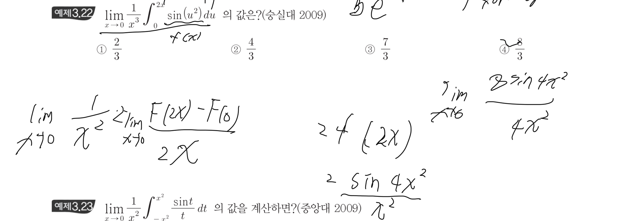
올바르게 접근한거 같은데 전혀 다른 답이 나오네요 ㅠ 분모의 3이 어디서 나오는 건지 감이 전혀 잡히지 않아요 미적분학의 올바른 이해1 2019 165페이지 3.22예제입니다 답변 완료된 질문과 답변은 수정 및 삭제가 불가합니다. |
|||
- 댓글
- 0
관*자
안녕하세요. 유니스터디 임계수입니다.
질문에 대한 답변입니다

- 2024-07-26
- 2024-12-12 수정























