| 제목 | 답변완료 20강 내용 문의 드립니다. | ||
|---|---|---|---|
| 질문유형 | 강좌내용 | 교수님 | 권준표 |
| 과목 | 열전달 | 강좌명 | |
| 작성자 | 김*나 (g***********1) | 등록일 | 2023-03-07 03:28 |
| 첨부파일 | |||
|
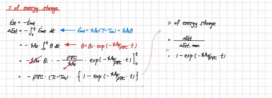
#biotnumber #heattranfer #lumpedsystem
안녕하세요. 강의잘듣고 있습니다.
20강에서 % of E stroed 구하는데, t=0이라고 하셨는데 이거 t=infinite에서 E stored 가 max인데 이게 맞는거죠? t = infinite인지 문의드리빈다. 감사합니다.
답변 완료된 질문과 답변은 수정 및 삭제가 불가합니다. |
|||
- 댓글
- 0
권*표
교수님
안녕하세요.
질문이 잘 이해가 가진 않습니다만,
아마 바로 다음에 나오는
문제풀이 영상을 보셨다면 충분히 이해하셨을 거라 생각합니다.
시간이 무한대로 가면
물체의 온도는 T_infinite로 수렴하게 될 것이니
말씀하신 부분은 맞다고 볼 수 있겠습니다.
질문에 대한 답이 됐기를 바랍니다.
감사합니다.
- 2023-03-20
- 2024-12-12 수정























