| 제목 | 답변완료 15강 17강. hp, lb, lbf 단위에 대한 고찰 | ||
|---|---|---|---|
| 질문유형 | 강좌내용 | 교수님 | 권준표 |
| 과목 | 동역학 | 강좌명 | |
| 작성자 | 이*상 (b********8) | 등록일 | 2020-10-06 17:12 |
|
Hp, lb, lbf 단위에 대한 고찰
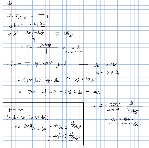
안녕하세요. 동역학 한방에 끝내기 15강과 17강을 들으면서 단위의 사용에 헷갈리는 부분이 생겨 질문 드립니다. 첫번째 질문은 hp에 관한 질문입니다. 15강에서 Example>3.14를 풀이하실 때, 교수님께서 1hp = 550ft·lb/s라고 필기하셨는데, 제가 문제를 풀어볼 때 단위에 무언가 이상함을 느꼈습니다. 그 원인을 찾아보다가, 1 hp = 550 ft⋅lbf/s ≈ 17,696 lb⋅ft2/s3 라는 식을 찾게 되었고, 이 식을 대입해 푼 결과 교수님과 제 풀이에 차이가 생기게 되었습니다. 저의 풀이와 교수님의 풀이를 한번 비교해주셔서 단위에 문제점이 없는지 알아봐주시면 감사하겠습니다. (유니스터디 Q&A 답변으로 사진 첨부하겠습니다. 질문할때는 사진 한개밖에 첨부가 안되고, 다른사람들에겐 보이지 않아 그렇습니다.) 두번째 질문은 앞에서 Pound에 관한 질문입니다. 17강에서 Example>3.19를 풀이하실 때, 교수님께서 oz, ounce : mass lbs, pound : weight 라고 필기하셨습니다. Mass의 종류에는 oz, kg, lb가 있고, Weight의 종류에는 N, lbf 가 있는 것으로 알고 있습니다. 더 찾아 본 결과, (주로 위키피디아에서) Pound-mass(symbol : lb), often simply called ‘pound’, which is a unit of mass. Pound-force(symbol : lbf) is a unit of force. 라는 것을 찾았고, ‘아 그럼 미국인들은 질량을 나타낼때는 lb라고 쓰고 pound라고 읽고, 힘(즉, 무게)을 나타낼 때는 lbf라고 쓰고 pound-force 라고만 읽겠구나?(단순히 pound라고 말하지 않고)’ 라고 생각을 하였습니다. 하지만 이러한 생각은 교수님이 lbs = weight라는 필기하신 부분과는 서로 상충되고 있습니다. (아마 lbs 가 lb의 복수형이라면?) 제 생각에는 oz, ounce : mass lbf, pound-force : weight 이렇게 필기하는 것이 맞다고 생각하는데, 제 생각의 어느 점이 틀렸는지 봐주시면 감사하겠습니다! 세번째 질문 : 계속 구글링을 해본 결과 혼란스럽습니다. 혹시 미국에서는 lbf를 lb로도 말할 때가 있나요? Pound-mass 도 있고 Pound-force도 있는데 제가 구글링을 해본 결과 미국인들은 둘 다 pound라고 부르는 것 같아 혼란이 옵니다… lbf(무게)도 파운드라고 읽고 lb(질량)도 파운드라고 읽으면 문맥에 따라서 해석하는 것인가요? +분명히 무게를 써야 하는 자리임에도 lb라고만 적는 경우도 있는 것 같습니다. 만약 그렇다면 미국인들은 단위의 중의성 때문에 혼란스러움을 느끼지 않나요?
네번째 질문 : lbs를 사용하셔서 질문드립니다. lbs는 단순히 lb의 복수형인가요? 예를 들어 1 lb , 2 lbs, 3 lbs 이런식으로 쓰는것이 맞나요? 만약 그렇다면 0.5 lb인가요, 0.5 lbs인가요? 그런데 제가 구글링을 해보았더니, "lbs" is never correct, lb is an abbreviation for Libra (Latin for Balance/Scales), and is both singular and plural it should always be lb. 라는 것을 찾았습니다. 이 말이 맞고, lbs는 쓰이지 않는 단위가 맞나요? 긴 질문 읽어주셔서 감사드리고, 항상 양질의 강의를 제공해 주시면서 후배들을 위해 힘써주시는 교수님께 또(항상) 감사드립니다! 좋은 하루 되세요, 교수님.
답변 완료된 질문과 답변은 수정 및 삭제가 불가합니다. |
|||
- 댓글
- 0
- 2020-10-06
- 2024-12-12 수정























