| 제목 | 답변완료 유체역학 3단원 linear momentum 관련 질문 | ||
|---|---|---|---|
| 질문유형 | 강좌내용 | 교수님 | 권준표 |
| 과목 | 유체역학 | 강좌명 | |
| 작성자 | 장*민 (w******5) | 등록일 | 2020-10-03 14:55 |
| 첨부파일 | |||
|
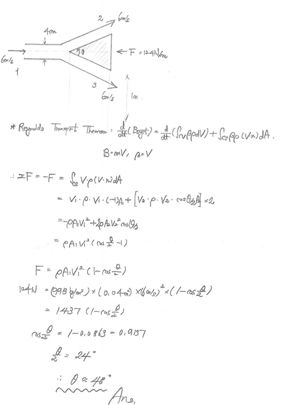
이부분에서 나가는 mv가 하나 밖에 계산이 안돼는것 같은데 왜 그런지 알려주실수 있나요?
원래 6코사인 theta/2 x 2 로 계산해야하는 것 아닌가요? 답변 완료된 질문과 답변은 수정 및 삭제가 불가합니다. |
|||
- 댓글
- 0
권*표
교수님
안녕하세요.
아래의 풀이를 보시면 아시겠지만,
두 방향 모두 고려가 되었습니다.
다시 한번 공부해보시길 바랍니다!
- 2020-10-05
- 2024-12-12 수정























