| 제목 | 답변완료 10강단열지수 | ||
|---|---|---|---|
| 질문유형 | 강좌내용 | 교수님 | 권준표 |
| 과목 | 공업열역학 | 강좌명 | |
| 작성자 | 김*준 (g*********5) | 등록일 | 2020-09-21 18:22 |
| 첨부파일 | |||
|
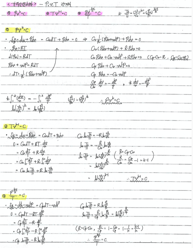
단열지수 3번째 p2/p1 분의 k-1/k 유도하는게 도저히 나오지 않아서 질문드립니다ㅠㅠ 답변 완료된 질문과 답변은 수정 및 삭제가 불가합니다. |
|||
- 댓글
- 0
권*표
교수님
수업 시간에
다 하나 하나 유도해드린 것으로 알고 있는데
한방에 끝내기를 반복해서 보시면 좋겠습니다.
유도는 아래의 내용을 참고하세요.
- 2020-09-21
- 2024-12-12 수정























