| 제목 | 답변완료 Mohr`s Circle | ||
|---|---|---|---|
| 질문유형 | 강좌내용 | 교수님 | 권준표 |
| 과목 | 고체역학 | 강좌명 | |
| 작성자 | 김*기 (k*****9) | 등록일 | 2019-04-05 21:29 |
| 첨부파일 | |||
|
답변 완료된 질문과 답변은 수정 및 삭제가 불가합니다. |
|||
- 댓글
- 0
권*표
교수님
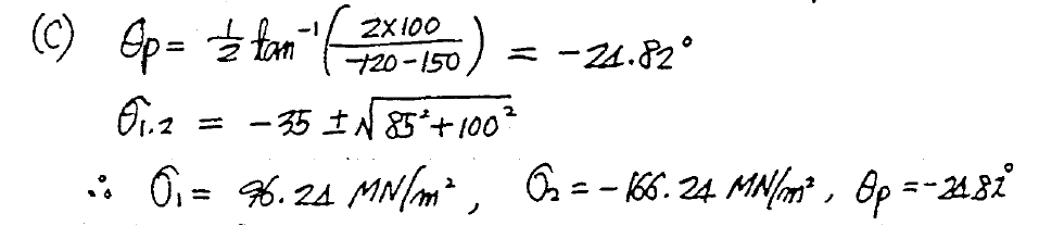
올려주신 첨부파일을 다시 올리드립니다.

2θ-90=cos^(-1)〖(100/131.2)〗으로 하시면 65도로 잘 계산됩니다.
죄송하지만 외부 문제의 경우 답변을 최대한 자제하는 편입니다.
강의에서 다루지 않은 내용까지 제가 답변을 드리다 보면
어쩔 수 없이 엄청나게 많고 다양한 질문에 대한 답변을
모두에게 해드려야하는 상황이 생기기 때문입니다.
많은 양해 부탁드립니다.
- 2019-04-05
- 2024-12-12 수정























