| 제목 | 답변완료 고체역학 18강 | ||
|---|---|---|---|
| 질문유형 | 강좌내용 | 교수님 | 권준표 |
| 과목 | 고체역학 | 강좌명 | |
| 작성자 | 신*후 (s********2) | 등록일 | 2019-01-11 12:15 |
| 첨부파일 | |||
|
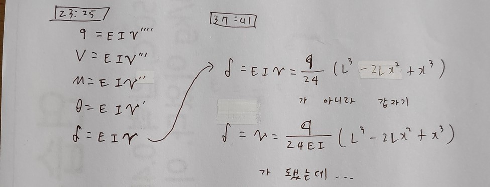
d=EIV 가 왜 갑자기 d=V 가 되나요?
답변 완료된 질문과 답변은 수정 및 삭제가 불가합니다. |
|||
- 댓글
- 0
권*표
교수님
저 정리에서 ‘=’이 서로 같다는 뜻이아닙니다.
θ=v`
δ=v
입니다.
서로 같은 말인데 제가 이해하기쉬우라고 저렇게 정리해드린 겁니다.
아래와 같기 때문에 아래에 쓴 식이 맞는 값이 되겠습니다.
간혹 제가 EI를 빼먹은 경우가 있는데 당연히 EI를 나눠야하는 걸 알기 때문에 그냥 넘어간 거라고 생각하시면 됩니다.
당연히실제 deflection값을 구하기 위해서는 EI를 나눠야하겠습니다.
q=v’’’’
V=v’’’
M=v’’
θ=v’
δ=v
- 2019-01-18
- 2024-12-12 수정























