| 제목 | 답변완료 비틀림 문제 질문 있습니다! | ||
|---|---|---|---|
| 질문유형 | 강좌내용 | 교수님 | 권준표 |
| 과목 | 고체역학 | 강좌명 | |
| 작성자 | 이*수 (y*****8) | 등록일 | 2018-09-18 23:49 |
| 첨부파일 | |||
|
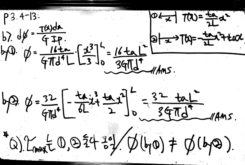
안녕하세요!! 비틀림쪽 복습하다가 자꾸 답이 다르게 나와서 질문드입니다. 기준점에따라 적분구간을 다르게 잡아야 하는건지 궁금합니다. 답변 완료된 질문과 답변은 수정 및 삭제가 불가합니다. |
|||
- 댓글
- 0
좋은 질문입니다. 제가 강의에서 어떻게 설명드렸는지는 모르겠지만, Angle of Twist를 구하실 때는 막대 끝(B)에서부터 시작해서 풀어야 합니다. 왜냐하면 우리가 shear stress를 이용하여 Angle of Twist 및 shear strain을 유도할 때, 원통의 아래를 z=0, 위를 z=dz라고 정의했기 때문입니다. 만약 학생분께서 A(바닥)부터 시작해서 비틀림각을 구했다면 이는 B(끝)가 고정되어 있을 때의 비틀림각을 계산하신 거라 할 수 있습니다.
수학적으로 설명드리면 조금 헷갈리실 것 같아 직관적으로 이해할 수 있는 예를 들어드릴게요. 같은 bar에서 A=0, B=tA 가 작용하고 있는 문제가 있다고 가정하겠습니다. 그리고 B를 x=0, A를 x=L라고 생각하며 끝단에서부터 적분하여 문제를 풀겠습니다. 그렇다면 학생분께서 사진으로 올려주신 풀이가 A에서의 비틀림각을 구하는 답이 될 것입니다. 전에 구한 답보다 이번에 구한 답에서 각도가 2배 크게 계산되는 것을 아실 수 있을 겁니다. 기준점으로부터 먼 곳에서 큰 토크가 발생할 때 큰 비틀림각이 생기는 것은 당연하기에 제대로 문제를 풀었다 생각할 수 있습니다.
비틀림각이 토크 뿐 아니라 길이에 의해 서도 결정되기 때문에 학생들이 쉽게 범할 수 있는 실수입니다. 좋은 질문해주셔서 감사드리고, 만약 제가 시작점을 어디로 잡아도 상관 없다고 했다면 양해 부탁드립니다. 감사합니다.
- 2018-09-19
- 2024-12-12 수정

풀이하고 풀어주신 문제 번호 첨부했습니다! 





















