| 제목 | 답변완료 Ksi: 단위변환이 어려워요 | ||
|---|---|---|---|
| 질문유형 | 강좌내용 | 교수님 | 권준표 |
| 과목 | 고체역학 | 강좌명 | |
| 작성자 | 김*희 (r********7) | 등록일 | 2023-07-02 17:20 |
| 첨부파일 | |||
|
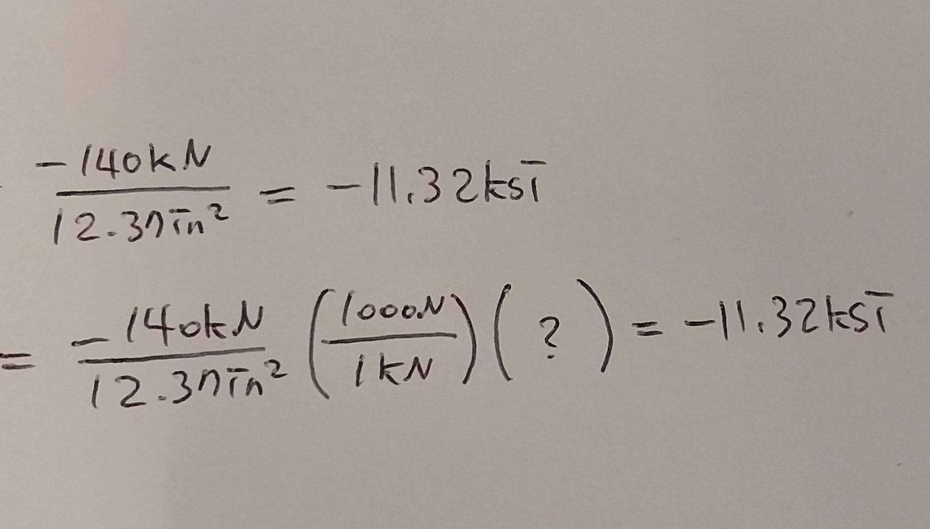
고체역학 2강질문입니다 단위변환이 어려워 질문드립니다 물음표에 들어갈수있는게뭔가요? 답변 완료된 질문과 답변은 수정 및 삭제가 불가합니다. |
|||
- 댓글
- 0
권*표
교수님
답변이 늦어서 첨언드립니다.
1,000 psi = 1 ksi
1 psi = 1 lb/in2
임을 고려하시면
충분히 단위변환하실 수 있을 겁니다.
https://godjunpyo.com/%ea%b3%a0%ec%b2%b4%ec%97%ad%ed%95%99/?mod=document&uid=1650
위의 링크와 같이
고체역학 한방에 끝내기에서는
US 단위를 많이 다루고 있으니
쭉 공부해 보시면서
정리하시면 될 겁니다.
감사합니다.
- 2023-08-05
- 2024-12-12 수정























