| 제목 | 답변완료 회로이론 질문 | ||
|---|---|---|---|
| 질문유형 | 강좌내용 | 교수님 | 양진목 |
| 과목 | 회로이론 | 강좌명 | |
| 작성자 | 강*규 (g*******0) | 등록일 | 2022-05-27 16:45 |
| 첨부파일 | |||
|
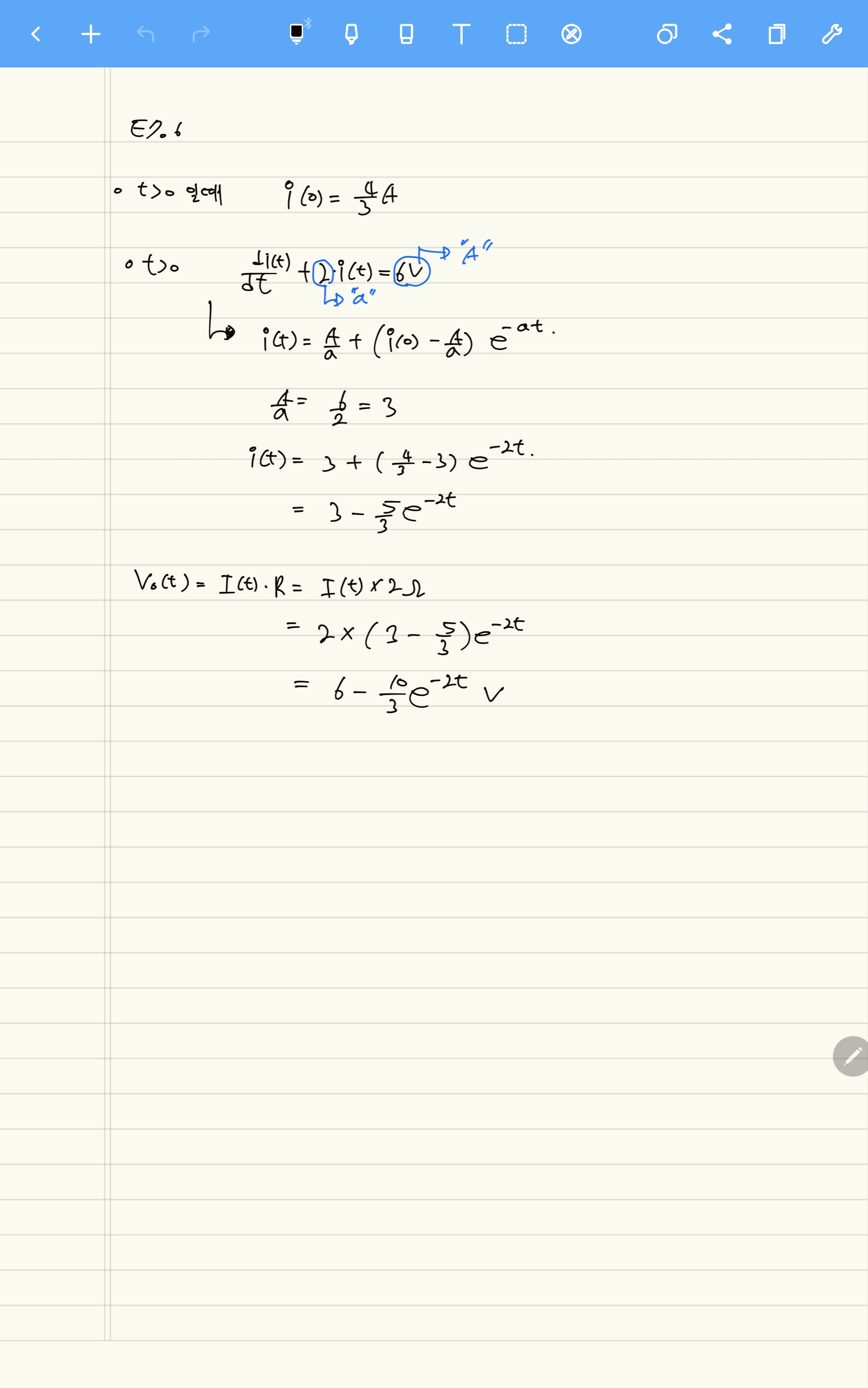
E7.6문제와. 풀이를 첨부하였습니다. 해당. 문제의 답이 e^(-2t) 가 나왔는데. 문제의 해답은 e^(-2/t) 가 나왔습니다 . 혹시 제 풀이에ㅡ오답이 있는지 확인해주시면 감사하겠습니다. 답변 완료된 질문과 답변은 수정 및 삭제가 불가합니다. |
|||
- 댓글
- 0
강*규
안녕하세요. 양진목입니다.
e^(-2t)이 맞습니다. 답을 잘못 표시한 것 같습니다.
답변이 되었는지 모르겠습니다.
그럼 안녕히계세요.
- 2022-05-28
- 2024-12-12 수정
























