| 제목 | 답변완료 회로이론 테브넌 회로 질 | ||
|---|---|---|---|
| 질문유형 | 강좌내용 | 교수님 | 양진목 |
| 과목 | 회로이론 | 강좌명 | |
| 작성자 | 김*준 (3********8) | 등록일 | 2024-05-26 21:22 |
| 첨부파일 | |||
|
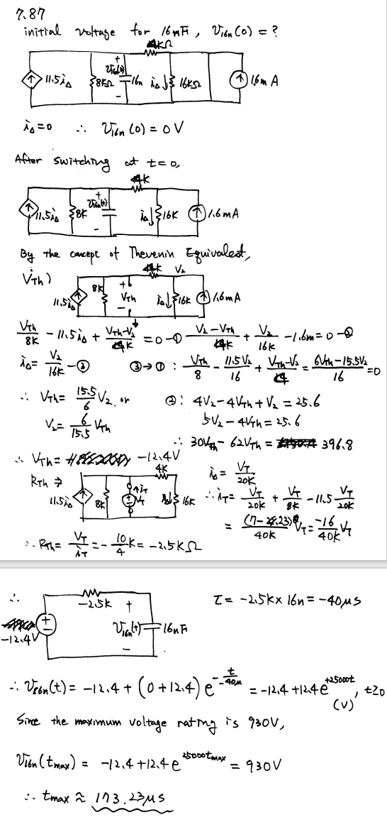
1. vt, it를 왼쪽에 연결했으면 테브넌등가회로는 vt의 오른쪽에 그리면 되고 vt, it를 오른쪽에 연결했으면 테브넌등가회로는 vt의 왼쪽에 그리면 됩니다. (주어진 회로는 인덕터에서 오른쪽을 바라보았을 때의 등가회로이므로 인덕터의 오른쪽에 그리는 것으로 이해해도 됩니다.) 답변 완료된 질문과 답변은 수정 및 삭제가 불가합니다. |
|||
- 댓글
- 0
안녕하세요. 양진목입니다.
1. 오른쪽, 왼쪽 다 가능합니다. 제가 처음에 말씀드린 것도 그렇게 처리하는 것이 일반적이라 그렇게 답변을 드린 것입니다.
질문하신 문제에서도 왼쪽에 그려도 되고 오른쪽에 드려도 됩니다.
2. 커패시터를 제거한 후 커패시터 자리에 vt, it를 연결하고 vt=a*it+b꼴을 도출해서 구할 수 있습니다.(식을 정확히 알고 있어야 합니다. iT = aVT + b가 아닙니다.)
종속전원이 있으면 Rth가 음수일 수 있습니다.(항상 음수인 것은 아닙니다.)
답변이 되었는지 모르겠습니다.
그럼 안녕히계세요.
- 2024-05-31
- 2024-12-12 수정























