| 제목 | 답변완료 회로 질문 | ||
|---|---|---|---|
| 질문유형 | 강좌내용 | 교수님 | 양진목 |
| 과목 | 회로이론 | 강좌명 | |
| 작성자 | 김*준 (3********8) | 등록일 | 2024-05-25 01:21 |
| 첨부파일 | |||
|
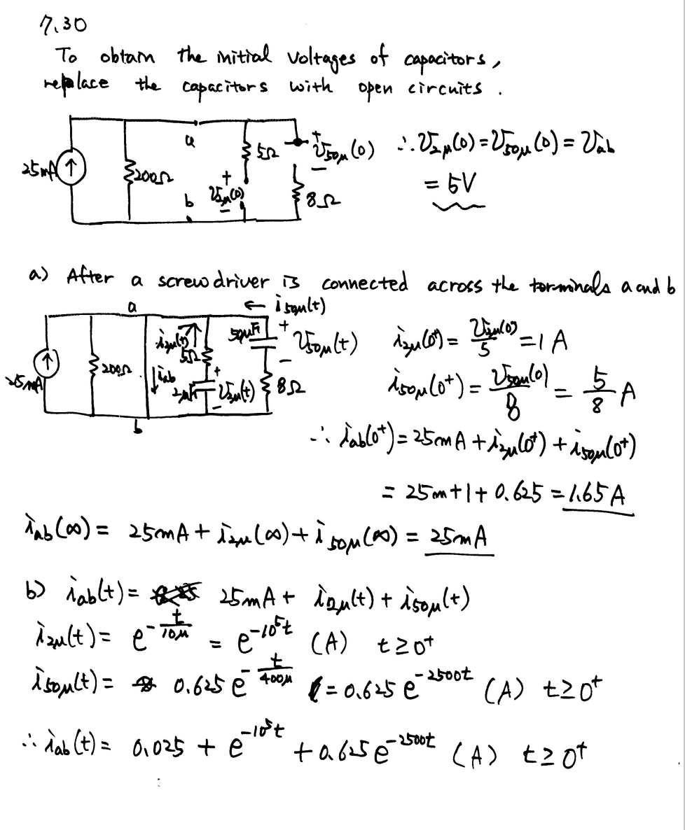
1) 커패시터에 걸린 전압을 왜 알고싶은건지, 알고자 한다면 왜 오픈을 시켜야 하는지 잊어먹었습니다.. 오픈 시키는 경우는 t=inf 일 떄 아니였나요..? 답변 완료된 질문과 답변은 수정 및 삭제가 불가합니다. |
|||
- 댓글
- 0
안녕하세요. 양진목입니다.
1. 제 강의 또는 학교교재의 본문 내용을 참고하세요.
(이전에도 이에 관련된 질문을 하셨습니다. 그에 대해 ``스위치가 오랜 시간 동안 닫혀있었다.`` 또는 ``오랜 시간 열려있었다``라는 표현에 담긴 의미에 관해 설명드렸습니다.)
2.3. 4. 5. 제 강의나 학교교재에서 개방, 단락에 관한 설명을 참고하세요.
그럼 안녕히계세요.
- 2024-05-31
- 2024-12-12 수정























