| 제목 | 답변완료 hydroboration질문 | ||
|---|---|---|---|
| 질문유형 | 강좌내용 | 교수님 | 윤관식 |
| 과목 | 유기화학 | 강좌명 | [유기화학] A.C.E 유기화학1 |
| 작성자 | 김*수 (j********e) | 등록일 | 2025-11-01 23:07 |
| 첨부파일 | |||
|
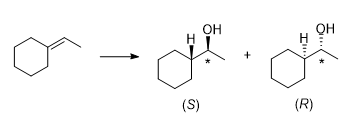
사진체서와 같이 8.20번에서 b번이 이해가 안됩니다. 위의 그림이 제가 생각한 답이고, 밑의 그림이 답지의 답인데 왜 CH3에 dash를 그려주면 안되나요? OH가 쐐기가 돼야하는거는 알겠는데 DASH가 되는 원소 결정을 못 하겠습니다. 설명부탁드립니다.
답변 완료된 질문과 답변은 수정 및 삭제가 불가합니다. |
|||
- 댓글
- 0
윤*식
교수님
안녕하세요 ~
생성물에 대한 표현방법에 대한 부분인듯 합니다.
해당 반응은 syn-첨가로 진행되는 반응이므로 아래처럼 그리시면 됩니다.
앞으로 첨가한것이왼쪽, 뒤로 첨가한것이 오른쪽입니다.
1:1의 비율로 얻어지며 둘은 거울상이성질체관계입니다.

첨부한 그림에서 그림으로 나타낸 것을 보면 하나는 입체배열이 (R)이고, 다른 하나는 입체배열이 (S)이므로
둘 다 답이 맞습니다.
그럼 열공하세요~
홧팅~!!
- 2025-11-27
























