| 제목 | 답변완료 친핵성 치환반응, 제거반응 판단 | ||
|---|---|---|---|
| 질문유형 | 강좌내용 | 교수님 | 윤관식 |
| 과목 | 유기화학 | 강좌명 | |
| 작성자 | 박*민 (a*****0) | 등록일 | 2024-10-16 03:58 |
| 첨부파일 | |||
|
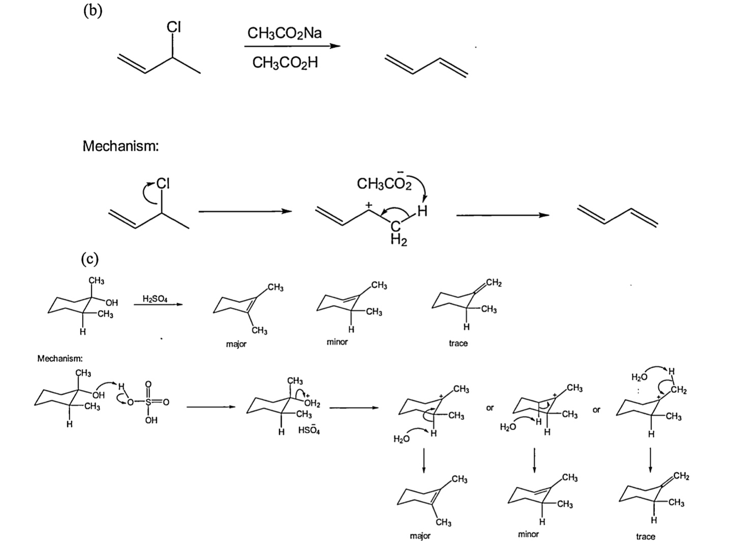
문제에서 제거반응임을 알려주고 생성물을 예측해서 그리는 문제입니다.
(b)의 경우 2차 기질, 약염강친이 아닌 시약을 사용했기 때문에 E2라고 생각했고, (c)의 경우 3차 기질, 황산이라는 강한 시약을 사용했기 때문에 E2라고 생각했습니다.
정답은 결국 둘 다 E1 반응이었는데, 왜 E1 반응인지 판단의 근거를 모르겠습니다. 탄소양이온 중간체 형성이 되는가에 초점을 맞춰 판단하는 건가요..? 답변 완료된 질문과 답변은 수정 및 삭제가 불가합니다. |
|||
- 댓글
- 0
안녕하세요 효민씨 ^^
b) 2차 기질에 acetate라는 약염강친을 사용한 반응입니다.
본래 2차 기질 + 약염강친은 SN2로 진행하는게 우세하지만, 문제에서는 제거반응을 하라고 언급했기에 SN2는 pass, 그렇다고 약염기인데
E2를 할 수는 없죠. 그래서 E1으로 진행되게 됩니다.
실제로 3차 RX에 약염강친을 사용하면 3차 기질이므로 SN2는 안되고, 약염기 이므로 E2도 안되기에 SN1 혹은 E1으로 진행됩니다.
문제는 3차 기질은 아니지만 문제에서 제거반응이라고 했기에 E1이 타당합니다.
c) 3차 알코올 + 산촉매는 전형적인 산촉매 탈수반응이며 대표적인 E1반응입니다. 이 내용은 알켄 제법에서 배우셨습니다.
Tip! 메커니즘을 판단할 때 강한시약을 사용하면 SN2, E2, 약한시약을 사용하면 SN1, E1이라는 논리는 반응물에 이탈기가 있을때 사용하는 방식이며
c)처럼 반응물이 알코올이라서 이탈기가 존재하지 않는 상황일 때는 배운 메커니즘에 근거하여 SN1, SN2, E1, E2중 무엇과 가장 유사한 반응인가로
메커니즘의 종류를 구별지어야 합니다.
그럼 열공하세요~
홧팅~!!
p.s 답변이 지연되어 미안합니다. (__)
- 2024-10-28
- 2024-12-12 수정























