| 제목 | 답변완료 기초미적분학 97p 예제1.9 5번,9번,10번 문제 | ||
|---|---|---|---|
| 질문유형 | 강좌내용 | 교수님 | 임계수 |
| 과목 | 강좌명 | ||
| 작성자 | 장*의 (j********1) | 등록일 | 2022-02-11 21:09 |
|
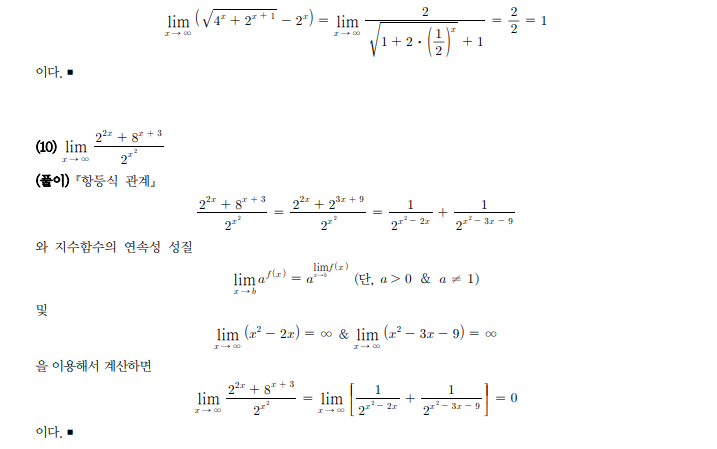
풀이방법 설명해주시면 감사하겠습니다 답변 완료된 질문과 답변은 수정 및 삭제가 불가합니다. |
|||
- 댓글
- 0
관*자
안녕하세요.
유니스터디 임계수 입니다.
질문에 대한 답변입니다.


- 2022-02-15
- 2024-12-12 수정
























