| 제목 | 답변완료 미적분학 2 / 다변수 벡터함수 - 면적분 / 곡면적분 예제 3.3 | ||
|---|---|---|---|
| 질문유형 | 강좌내용 | 교수님 | 임계수 |
| 과목 | 강좌명 | ||
| 작성자 | (j******n) | 등록일 | 2021-12-16 13:53 |
| 첨부파일 | |||
|
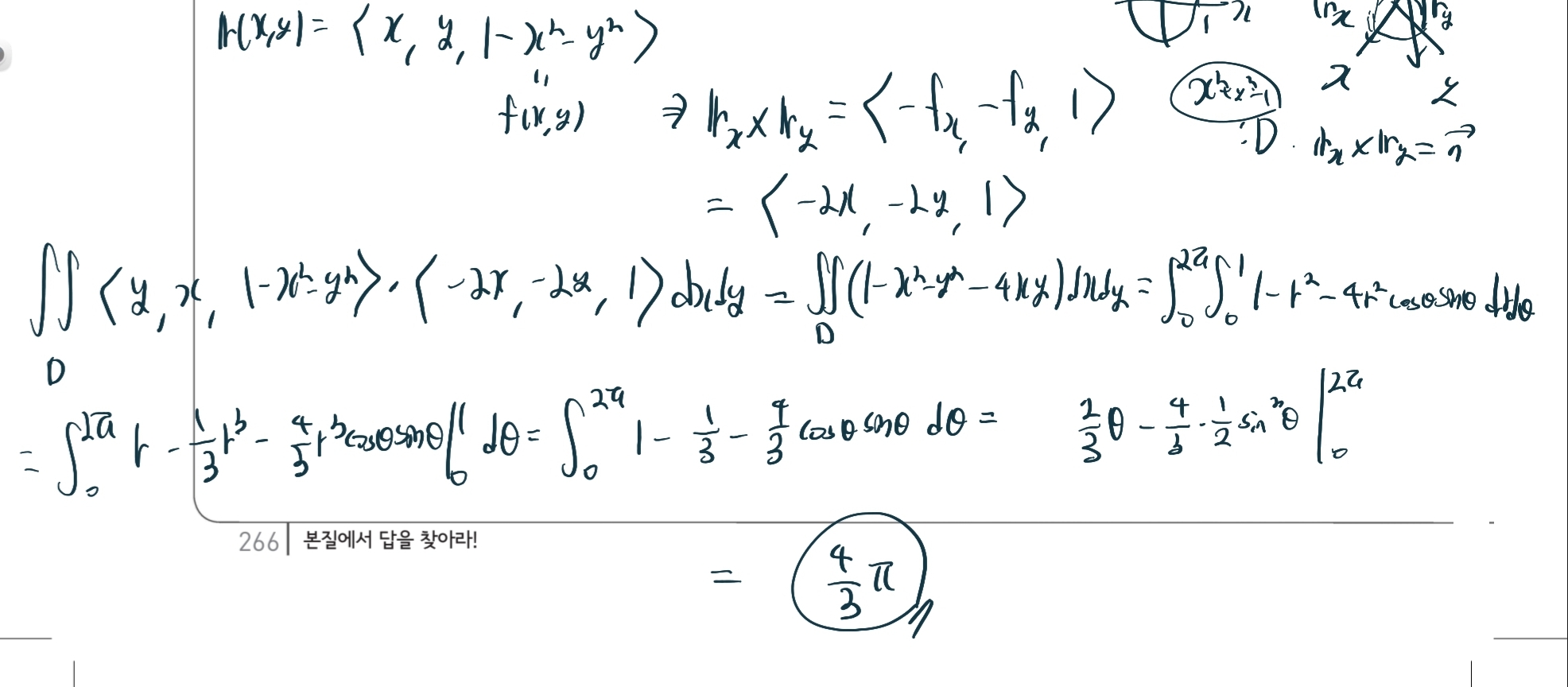
미적분학 2 / 다변수 벡터함수 - 면적분 / 곡면적분 예제 3.3
답이 pi / 2 인데 어떻게 나오는지 모르겠습니다 제가 잘못한 부분이 딱히 없는 것 같은데 풀이부탁드립니다 답변 완료된 질문과 답변은 수정 및 삭제가 불가합니다. |
|||
- 댓글
- 0
관*자
안녕하세요. 유니스터디 임계수입니다.
질문에 대한 답변입니다.

- 2021-12-17
- 2024-12-12 수정























