| 제목 | 답변완료 미적분학 다변수 벡터함수의 선적분 예제 4.13 , 4.15 | ||
|---|---|---|---|
| 질문유형 | 강좌내용 | 교수님 | 임계수 |
| 과목 | 강좌명 | ||
| 작성자 | 김*호 (g*******5) | 등록일 | 2021-12-14 12:26 |
|
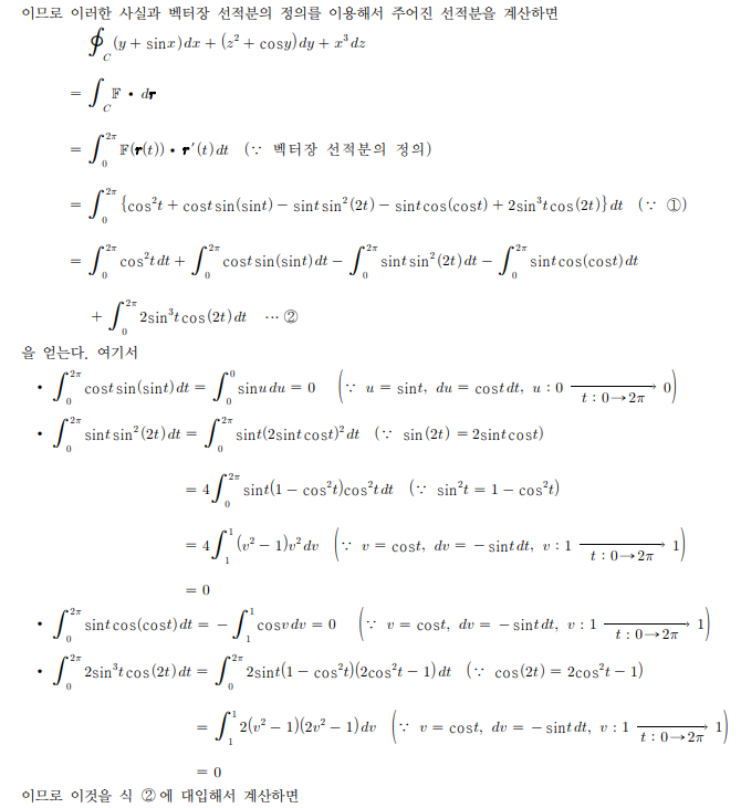
미적분학 다변수 벡터함수의 선적분 예제 4.13 에서 M = y + sinx , N = z^2 + cosy . My = 1 . Nx = 0 으로 같지 않아 보존적 벡터장이 아닌 것 같은데요,
일반적인 선적분을 적용하려 하니 sin(sint) , cos(cost) 등 적분이 불가능해 보이는 함수들이 꽤 생깁니다 일반적인 선적분을 적용하는 것이 맞는지 궁금하고 풀이과정 부탁드립니다
...
미적분학 다변수 벡터함수의 선적분 예제 4.15 에서도 보존적 벡터장이 아닌 것 같은데 일반적인 선적분을 적용하는 것이 맞나요? 4.15는 비교적 4.13 에 비해 간단해 보입니다 답변 완료된 질문과 답변은 수정 및 삭제가 불가합니다. |
|||
- 댓글
- 0
관*자
안녕하세요. 유니스터디 임계수입니다.
질문에 대한 답변입니다.



- 2021-12-17
- 2024-12-12 수정























