| 제목 | 답변완료 미적분학 다변수 벡터함수의 선적분 예제 3.9 ~ 3.11 | ||
|---|---|---|---|
| 질문유형 | 강좌내용 | 교수님 | 임계수 |
| 과목 | 강좌명 | ||
| 작성자 | 김*호 (g*******5) | 등록일 | 2021-12-13 18:28 |
|
미적분학 다변수 벡터함수의 선적분 예제 3.9 ~ 3.11
까지의 증명 문제들은 어떤 방식으로 접근해야하나요?
3.9 번에서 r = (r1,r2, ,... rn) , v = (v1,v2,...,vn) 으로 두고 계산을 해봤는데 너무 계산도 많고 더 좋은 증명방법이 없을까요?
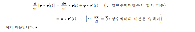
3.10, 3.11 은 |r(t)|^2 = r(t) . r(t) 를 사용하는 것 같긴 한데 뭔가 헷갈립니다.. 답변 완료된 질문과 답변은 수정 및 삭제가 불가합니다. |
|||
- 댓글
- 0
관*자
안녕하세요. 유니스터디 임계수입니다.
질문에 대한 답변입니다.


- 2021-12-17
- 2024-12-12 수정























