| 제목 | 답변완료 공학수학 p.127 예제 3.2(6) 질문드립니다. | ||
|---|---|---|---|
| 질문유형 | 강좌내용 | 교수님 | 임계수 |
| 과목 | 공학수학 | 강좌명 | |
| 작성자 | 차*헌 (c*****s) | 등록일 | 2021-12-02 14:51 |
| 첨부파일 | |||
|
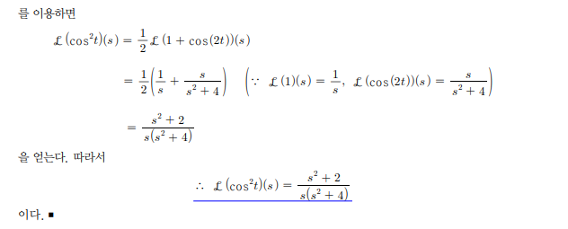
교수님 번거로운 질문 드려서 죄송합니다.
다음 문제를 두 가지 해결법으로 접근했고 첫번째 "그냥 라플라스"에서는 솔루션과 일치하는 답이 나왔습니다. 하지만 "미분 라플라스"에서 계속 이상한 답이 나오는데 혹시 제 풀이과정이 잘못되었나요?
감사합니다. 답변 완료된 질문과 답변은 수정 및 삭제가 불가합니다. |
|||
- 댓글
- 0
관*자
안녕하세요. 유니스터디 임계수입니다.
질문에 대한 답변입니다.


- 2021-12-06
- 2024-12-12 수정























