| 제목 | 답변완료 선형대수학 118p 예제3.2 풀이좀알려주세요 ㅜ | ||
|---|---|---|---|
| 질문유형 | 강좌내용 | 교수님 | 임계수 |
| 과목 | 선형대수학 | 강좌명 | |
| 작성자 | 손* (m******0) | 등록일 | 2021-11-29 16:57 |
|
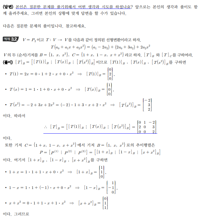
잘 모르겟네요 답변 완료된 질문과 답변은 수정 및 삭제가 불가합니다. |
|||
- 댓글
- 0
관*자
안녕하세요. 유니스터디 임계수입니다.
질문에 대한 답변입니다.


- 2021-12-01
- 2024-12-12 수정























