| 제목 | 답변완료 공학수학 p.113 예제 1.6 (6) 질문드립니다 | ||
|---|---|---|---|
| 질문유형 | 강좌내용 | 교수님 | 임계수 |
| 과목 | 공학수학 | 강좌명 | |
| 작성자 | 차*헌 (c*****s) | 등록일 | 2021-11-25 02:48 |
| 첨부파일 | |||
|
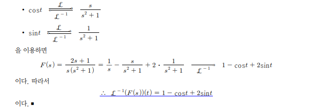
교수님 질문 많이드려서 죄송합니다.
역변환을 하기 위해 분수의 대수적 조작을 하는 도중 더이상 조작이 불가능해서 질문드렸습니다.
위의 첨부파일은 제 풀이과정입니다. 혹시 그 이후의 풀이과정 여쭤봐도 될까요? 답변 완료된 질문과 답변은 수정 및 삭제가 불가합니다. |
|||
- 댓글
- 0
관*자
안녕하세요. 유니스터디 임계수입니다.
질문에 대한 답변입니다


- 2021-11-26
- 2024-12-12 수정























