| 제목 | 답변완료 공학수학 p.103 예제 4.2 질문드립니다 | ||
|---|---|---|---|
| 질문유형 | 강좌내용 | 교수님 | 임계수 |
| 과목 | 공학수학 | 강좌명 | |
| 작성자 | 차*헌 (c*****s) | 등록일 | 2021-11-18 22:21 |
| 첨부파일 | |||
|
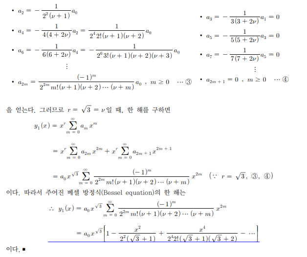
교수님 안녕하십니까. 항상 친절하고 자세하게 답변해 주셔서 감사합니다.
예제 4.2에서 베셀 방정식에서 `결정방정식` 까지 구해서 r 값들을 찾아냈습니다.
하지만 솔루션에 나와있는 답이랑 너무 달라서 그 이후의 풀이과정이 궁금합니다.
항상 감사합니다. 답변 완료된 질문과 답변은 수정 및 삭제가 불가합니다. |
|||
- 댓글
- 0
관*자
안녕하세요. 유니스터디 임계수입니다.
질문에 대한 답변입니다.


- 2021-11-19
- 2024-12-12 수정























