| 제목 | 답변완료 선형대수학 / 내적공간과 직교화 / 내적공간과 직교화 예제 2.8 | ||
|---|---|---|---|
| 질문유형 | 강좌내용 | 교수님 | 임계수 |
| 과목 | 선형대수학 | 강좌명 | |
| 작성자 | (j******n) | 등록일 | 2021-11-14 20:55 |
|
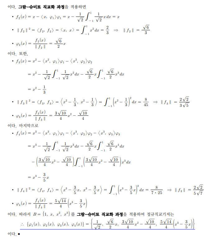
선형대수학 / 내적공간과 직교화 / 내적공간과 직교화 예제 2.8 의 풀이 부탁드립니다 깔끔하게 풀지 못한 것 같아 모범답안과 비교해서 학습하고 싶습니다 답변 완료된 질문과 답변은 수정 및 삭제가 불가합니다. |
|||
- 댓글
- 0
관*자
안녕하세요. 유니스터디 임계수입니다.
질문에 대한 답변입니다.


- 2021-11-16
- 2024-12-12 수정























