| 제목 | 답변완료 62강(원기둥 좌표와 삼중적분), 예제 3.6번 theta 각도 범위 설정에 대한 질문 입니다. | ||
|---|---|---|---|
| 질문유형 | 강좌내용 | 교수님 | 임계수 |
| 과목 | 강좌명 | ||
| 작성자 | 오*균 (d********2) | 등록일 | 2021-11-12 14:53 |
|
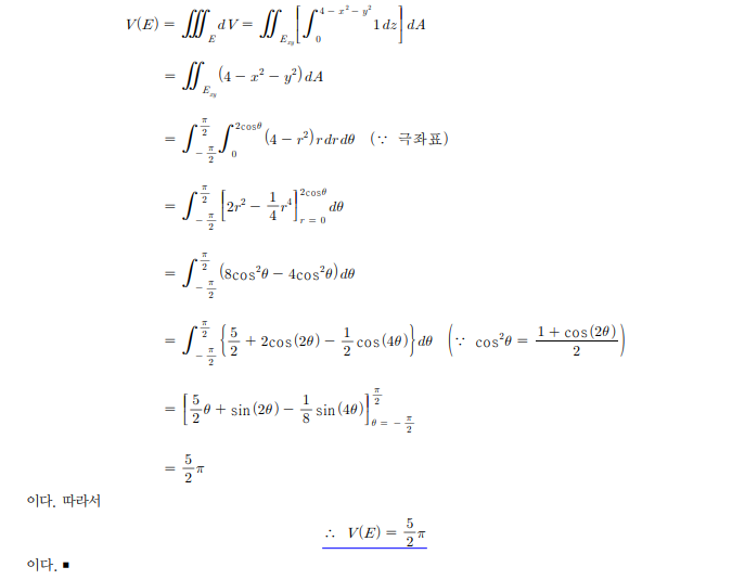
교수님 안녕하십니까? 극좌표계와 원기둥 좌표계를 이용하여 입체의 부피를 구하는 것을 공부하다가 여쭤볼 것이 있어 질문을 드리게 되었습니다. x^2 + y^2 <= 2x 이와 같은 부등식의 극좌표계 변환을 하게 되었을 때, 0<=r<=2cos(theta) 인 부분에 대해서는 이해하였습니다. 이후 theta의 범위에 대해서는 –pi/2<=theta<=pi/2 인지, 아니면 0<=theta<=pi 인지에 대하여 헷갈리게 되었습니다. (교수님께서는 62강 수업을 진행하실 때, 0<=theta<=pi 라고 설명해주셨습니다.) 이에 대해 해결하고자 (써웨이 핵심미적분학을 통하여) 극좌표 부분에 대하여 다시 공부하였지만, 그 부분에서는 0<=theta<=pi 라고 표현을 하였으며, 극 좌표 및 원기둥 좌표에서 부피를 구할 때에는 pi/2<=theta<=pi/2 라고 표현되어있습니다. 이와 같은 경우 어떻게 풀어야 하는지에 대해 여쭤보고 싶습니다.
답변 완료된 질문과 답변은 수정 및 삭제가 불가합니다. |
|||
- 댓글
- 0
관*자
안녕하세요. 유니스터디 임계수입니다.
질문에 대한 답변입니다.



- 2021-11-16
- 2024-12-12 수정























