| 제목 | 답변완료 공학수학 p.62 예제 5.3 질문드립니다. | ||
|---|---|---|---|
| 질문유형 | 강좌내용 | 교수님 | 임계수 |
| 과목 | 공학수학 | 강좌명 | |
| 작성자 | 차*헌 (c*****s) | 등록일 | 2021-11-12 12:36 |
| 첨부파일 | |||
|
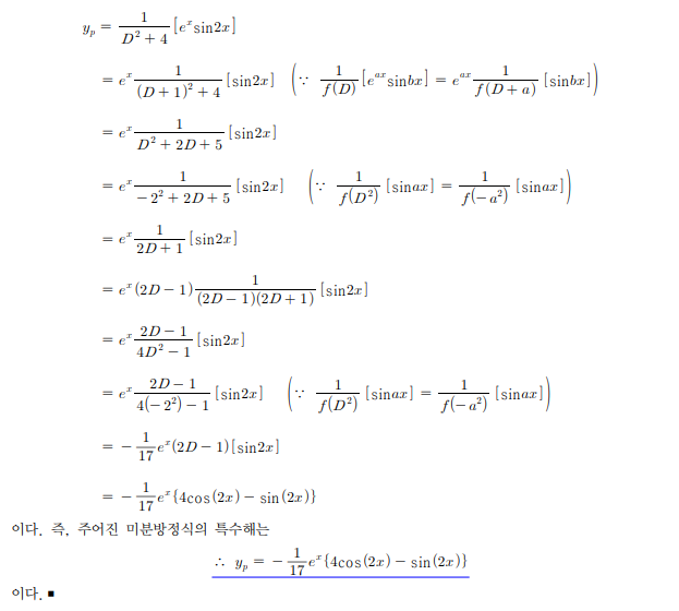
교수님 항상 친절하게 답변해 주셔서 감사합니다.
제가 y p 를 구하기 위해 역연산법을 이용했는데 솔루션과 답이 계속 다르게 나옵니다. 혹시 제 풀이과정 중 틀린 부분이 있는지 확인 부탁드려도 되겠습니까? 감사합니다. 답변 완료된 질문과 답변은 수정 및 삭제가 불가합니다. |
|||
- 댓글
- 0
관*자
안녕하세요. 유니스터디 임계수입니다.
질문에 대한 답변입니다.


- 2021-11-16
- 2024-12-12 수정























