| 제목 | 답변완료 (재질문) 미적분학 2 / 다변수 벡터함수 - 선적분 / 예제 2.2 | ||
|---|---|---|---|
| 질문유형 | 강좌내용 | 교수님 | 임계수 |
| 과목 | 강좌명 | ||
| 작성자 | (j******n) | 등록일 | 2021-11-08 21:36 |
| 첨부파일 | |||
|
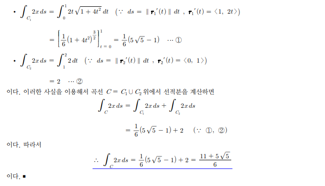
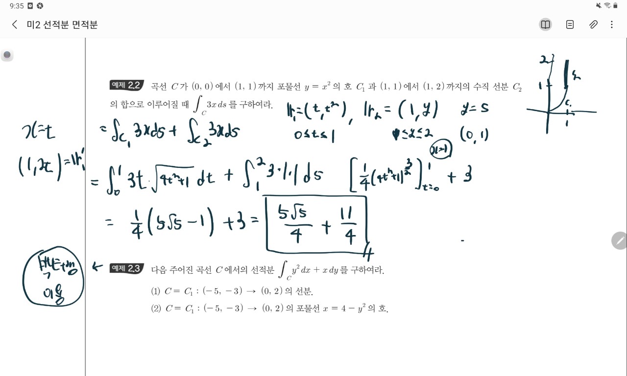
미적분학 2 / 다변수 벡터함수 - 선적분 / 예제 2.2 에서 C2 구간에서 x=1 로 고정된 상태이고 y 가 1 부터 2까지인데, 이럴 경우 (1,t) 1<=t<=2 가 되어야 하지 않나요?
이렇게 계산하면 ( 11+5sqrt5 )/ 4 가 나오는 것 같은데 답지엔 분모가 4가 아닌 6이라 되어 있는데 확인 부탁드립니다
----------------------------------------------------------------------------------------------------- 위는 이전 질문이고, 답 관련해서 ( 11+5sqrt5 )/ 4 가 계속 나오는데 첨부파일의 풀이과정 확인 부탁드립니다 ..
답변 완료된 질문과 답변은 수정 및 삭제가 불가합니다. |
|||
- 댓글
- 0
관*자
안녕하세요. 유니스터디 임계수입니다.
질문에 대한 답변입니다.


- 2021-11-12
- 2024-12-12 수정























