| 제목 | 답변완료 공학수학 p.62 예제 5.2 (2) 질문드립니다 | ||
|---|---|---|---|
| 질문유형 | 강좌내용 | 교수님 | 임계수 |
| 과목 | 공학수학 | 강좌명 | |
| 작성자 | 차*헌 (c*****s) | 등록일 | 2021-11-07 09:47 |
| 첨부파일 | |||
|
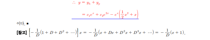
교수님. 항상 친절하게 답변해주셔서 감사합니다.
미분연산자를 통해서 특수해 y p 를 구했는데 솔루션이랑 답이 다르게 나옵니다.
(D-1)(D-2)y p =xex x 이 형태에서
STEP 1 : D-1 먼저 처리 STEP 2: D-2 나중 처리로 했습니다.
답이 솔루션이랑 달라서 부분분수 처리도 해봤는데 답이 안나오는데 혹시 제 풀이과정중에 잘못된 개념이 있는지 확인 부탁드려도 되겠습니까? 답변 완료된 질문과 답변은 수정 및 삭제가 불가합니다. |
|||
- 댓글
- 0
관*자
안녕하세요. 유니스터디 임계수입니다.
질문에 대한 답변입니다.



- 2021-11-08
- 2024-12-12 수정























