| 제목 | 답변완료 미적분학 2 / 다변수 함수의 삼중적분 / 원기둥좌표계 예제 3.6 | ||
|---|---|---|---|
| 질문유형 | 강좌내용 | 교수님 | 임계수 |
| 과목 | 강좌명 | ||
| 작성자 | (i*******3) | 등록일 | 2021-10-29 23:13 |
|
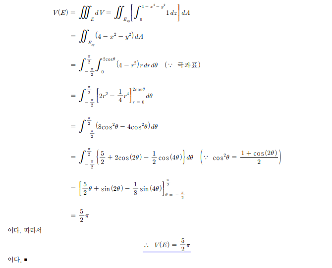
미적분학 2 / 다변수 함수의 삼중적분 / 원기둥좌표계 예제 3.6 에 세타 범위를 -pi/2 to pi/2 로 잡고 적분 계산을 하니 적분 값이 5pi/2 가 나오는데 답지는 5pi/4 라고 하네요 .. 적분 풀이과정 알 수 있을까요? 답변 완료된 질문과 답변은 수정 및 삭제가 불가합니다. |
|||
- 댓글
- 0
관*자
안녕하세요. 유니스터디 임계수입니다.
질문에 대한 답변입니다.


- 2021-11-02
- 2024-12-12 수정























