| 제목 | 답변완료 [미적분학] 미분적분학의 올바른 이해 Part 2 /다변수 미분의 삼중적분/198page/예제2.2 | ||
|---|---|---|---|
| 질문유형 | 강좌내용 | 교수님 | 임계수 |
| 과목 | 강좌명 | ||
| 작성자 | 유*오 (t****1) | 등록일 | 2021-10-27 19:43 |
| 첨부파일 | |||
|
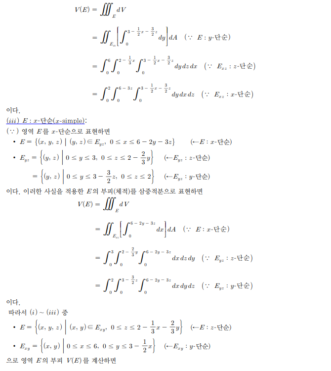
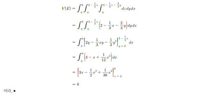
안녕하세요 미적분학 삼중적분 파트의 198p 예제 2.2번의 답안이 3으로 되어있는데 아무리 풀어도 6으로 나와서 풀이 부탁드립니다.
감사합니다. 답변 완료된 질문과 답변은 수정 및 삭제가 불가합니다. |
|||
- 댓글
- 0
관*자
안녕하세요. 유니스터디 임계수입니다.
질문에 대한 답변입니다.




- 2021-10-29
- 2024-12-12 수정























