| 제목 | 답변완료 미적분학] 미분적분학의 올바른 이해 Part 2 /다변수 미분의 삼중적분/194page/예제1.14 | ||
|---|---|---|---|
| 질문유형 | 강좌내용 | 교수님 | 임계수 |
| 과목 | 강좌명 | ||
| 작성자 | 유*오 (t****1) | 등록일 | 2021-10-27 09:39 |
| 첨부파일 | |||
|
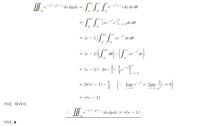
안녕하세요 교수님 삼중적분파트 예제 1.14가 이해되지 않아 질문드립니다.
자세한 사항은 첨부와 같습니다. 풀이부탁드립니다.
감사합니다. 답변 완료된 질문과 답변은 수정 및 삭제가 불가합니다. |
|||
- 댓글
- 0
관*자
안녕하세요. 유니스터디 임계수입니다.
질문에 대한 답변입니다.


- 2021-10-29
- 2024-12-12 수정























