| 제목 | 답변 준비중 공학수학1 p21 예제 4.6 | ||
|---|---|---|---|
| 질문유형 | 강좌내용 | 교수님 | 임계수 |
| 과목 | 공학수학 | 강좌명 | [공학수학] 공학수학1 : 상미분방정식과 라플라스변환 |
| 작성자 | 윤*은 (s********7) | 등록일 | 2026-03-15 14:42 |
| 첨부파일 | |||
|
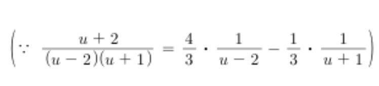
부분분수 같은데 이 과정이 이해가 되지 않습니다. 상세히 풀어서 설명 부탁드립니다. 답변 완료된 질문과 답변은 수정 및 삭제가 불가합니다. |
|||
- 댓글
- 0























