| 제목 | 답변 준비중 10강 예제 5.6 관련 질문 드립니다. | ||
|---|---|---|---|
| 질문유형 | 강좌내용 | 교수님 | 이정욱 |
| 과목 | 일반물리학 | 강좌명 | [일반물리학] 서웨이(Serway) 대학물리학1 |
| 작성자 | 임*우 (d*******9) | 등록일 | 2026-02-01 20:56 |
| 첨부파일 | |||
|
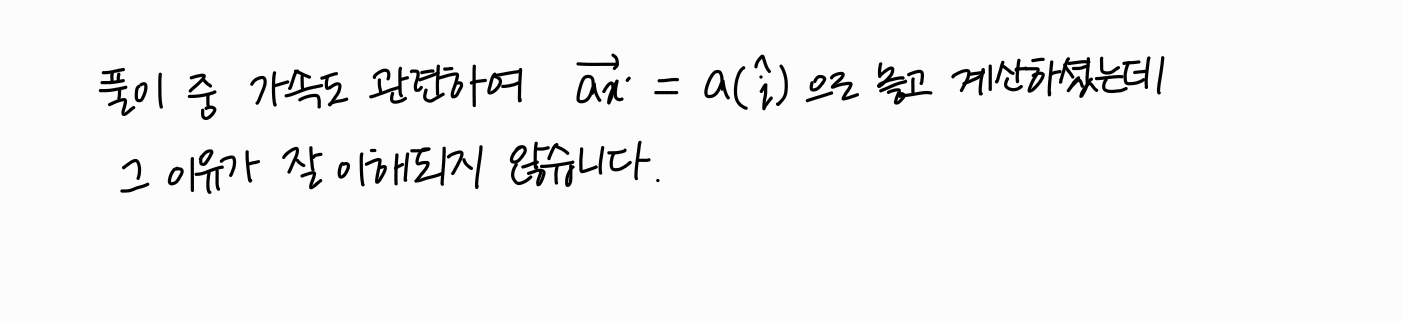
첨부파일로 질문 드립니다.
답변 완료된 질문과 답변은 수정 및 삭제가 불가합니다. |
|||
- 댓글
- 0
























